Добавить в корзинуПозвонить
Найти в Дзене
ГосземляРФ

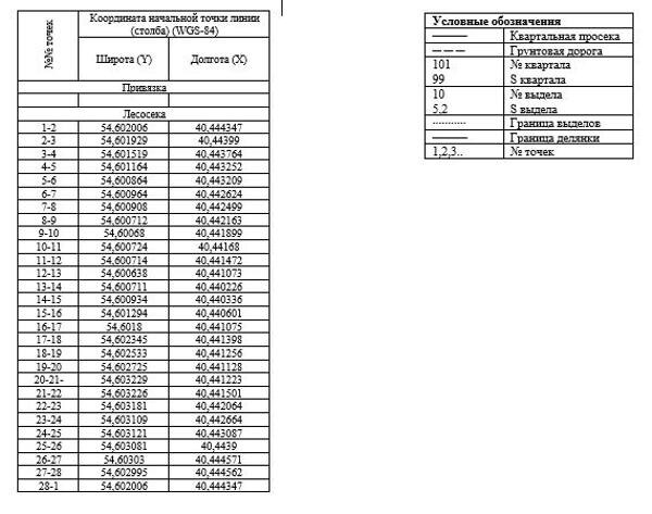
Название: Лесные насаждения, расположенные в лесосеке площадью 5,2 га с объёмом заготовки древесины 309 куб

м Канал: Госземля Рязанская область Область: обл Рязанская Рязанская область Район: Спасский район Населенный пункт: Спасское лесничество, Комсомольское участковое лесничество: квартал 101, выдел 10, лесосека 1. Локация: Смотреть на карте ВРИ: Заготовка древесины Кадастровый номер: 62:20:0000000:20 Кадастровая стоимость: - Вид сделки: Продажа Площадь: 52000 м² Начальная цена: 23542.00 руб. Дата завершения: 19.04.2026 Подробнее: ГИС ТОРГИ #госземля #земляотгосударства #земля #земельныйучасток #земельныеторги #торги #аукцион #продажаземли #продажа #рязанскаяобласть

Название: Лесные насаждения, расположенные в лесосеке площадью 5,2 га с объёмом заготовки древесины 309 куб. м

Канал: Госземля Рязанская область

Область: обл Рязанская Рязанская область

Район: Спасский район

Населенный пункт: Спасское лесничество, Комсомольское участковое лесничество: квартал 101, выдел 10, лесосека 1.

Локация: Смотреть на карте

ВРИ: Заготовка древесины

Кадастровый номер: 62:20:0000000:20

Кадастровая стоимость: -

Вид сделки: Продажа

Площадь: 52000 м²

Начальная цена: 23542.00 руб.

Дата завершения: 19.04.2026

Подробнее: ГИС ТОРГИ

#госземля #земляотгосударства #земля #земельныйучасток #земельныеторги #торги #аукцион #продажаземли #продажа #рязанскаяобласть

-2