Добавить в корзинуПозвонить
Найти в Дзене
SAV AI

🤯 АНАЛОГ CLAUDE БЕСПЛАТНО

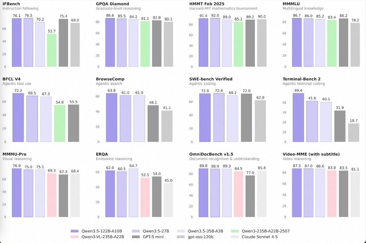
Энтузиасты переобучили Qwen 3.5 на данных Opus 4.6 и выкатили полностью опен-сорсную модель, которая НЕ УСТУПАЕТ оригиналу и запускается на одной GPU 🔥 ▌ Что внутри этого монстра? • 🧠 Умная как оригинал: переобучена на данных Opus 4.6 → те же рассуждения, та же логика, но без цензуры и подписок • 💻 Запуск на домашнем ПК: одна GPU, 8-16 GB RAM → работает без облаков, без телеметрии, без «ой, у вас слабый комп» • ⚡️ Шустрая и стабильная: быстрее других дистилляций Qwen, лучше держит контекст, меньше галлюцинирует в сложных задачах • 📚 Контекст 262K токенов: грузи целые книги, репозитории с кодом, папки с документами → модель «помнит» всё и связывает факты • 🔗 API-френдли: стабильнее работает с внешними вызовами → интегрируй в свои скрипты без костылей и танцев с бубном • 🚫 Без ограничений: нет цензуры, нет пейволлов, нет «этого нельзя» → ты контролируешь модель, а не она тебя ▌ Доступ — бери и пользуйся → Полностью опен-сорс ✅ → Формат GGUF для локального запуска ✅ → Поддержка lla

🤯 АНАЛОГ CLAUDE БЕСПЛАТНО

Энтузиасты переобучили Qwen 3.5 на данных Opus 4.6 и выкатили полностью опен-сорсную модель, которая НЕ УСТУПАЕТ оригиналу и запускается на одной GPU 🔥

▌ Что внутри этого монстра?

• 🧠 Умная как оригинал: переобучена на данных Opus 4.6 → те же рассуждения, та же логика, но без цензуры и подписок

• 💻 Запуск на домашнем ПК: одна GPU, 8-16 GB RAM → работает без облаков, без телеметрии, без «ой, у вас слабый комп»

• ⚡️ Шустрая и стабильная: быстрее других дистилляций Qwen, лучше держит контекст, меньше галлюцинирует в сложных задачах

• 📚 Контекст 262K токенов: грузи целые книги, репозитории с кодом, папки с документами → модель «помнит» всё и связывает факты

• 🔗 API-френдли: стабильнее работает с внешними вызовами → интегрируй в свои скрипты без костылей и танцев с бубном

• 🚫 Без ограничений: нет цензуры, нет пейволлов, нет «этого нельзя» → ты контролируешь модель, а не она тебя

▌ Доступ — бери и пользуйся

→ Полностью опен-сорс ✅

→ Формат GGUF для локального запуска ✅

→ Поддержка llama.cpp, Ollama, LM Studio ✅

→ Бесплатно навсегда, без скрытых условий ✅

▌ Для кого это?

• Разраб → код-ревью, генерация, дебаг без лимитов и отправки кода в облако

• Исследователь → анализ статей, книг, данных с полным контекстом и приватностью

• Креатор → идеи, тексты, прототипы без «этого нельзя писать» от корпоративных фильтров

• Студент → мощный ИИ-ассистент бесплатно → диплом, курсовая, проект без затрат

• Приватность-фрик → всё локально, никакие данные не утекают → спокойствие в эпоху сливов

💥 ПОЧЕМУ ЭТО КРУТО?

▸ Цена = 0, качество = Opus

Получаешь топовый интеллект без подписки, без лимитов, без «премиум-доступа». Это как взять флагман за цену китайского ноунейма 🏎💸

▸ Локальный запуск = полная свобода

Никаких облаков, никаких «сервер недоступен», никаких обновлений, которые ломают воркфлоу. Твой комп — твои правила 🔐⚡️

▸ Контекст 262K = память слона

Загружай документацию, переписку, исследования → модель связывает факты, а не ищет ключевые слова. Это уровень «я всё помню» 🧠🔗

▸ Без цензуры = честные ответы

Модель не фильтрует мысли, не уходит от острых тем, не пишет «как ИИ-ассистент». Ты задаёшь вопрос — получаешь прямой ответ 🎯🗣

▸ Опен-сорс = прозрачность + комьюнити

Код открыт, веса доступны, сообщество пилит улучшения. Никаких чёрных ящиков, только честная технология 🤝🔧

▸ Универсальность без компромиссов

Одна модель → код, текст, анализ, креатив. Не нужно переключаться между инструментами — всё в одном окне 🔄🎯

💼 КАК ИСПОЛЬЗОВАТЬ В БИЗНЕСЕ?

▸ Приватная автоматизация

Запрос «проанализируй контракт, найди риски» → модель работает локально → данные не покидают периметр → безопасность + скорость 📄🛡

▸ Разработка без облаков

Код-генерация, ревью, документация — всё на твоем железе. Никаких утечек проприетарного кода, никаких лимитов на запросы 💻✅

▸ Контент-конвейер с контролем

Бриф → исследование (262K контекст) → черновик → финал. Один инструмент, полный цикл, без цензурных фильтров 🎨📰

▸ Онбординг с приватностью

Новички учатся на примерах компании → модель отвечает на вопросы → знания остаются внутри, а не летят в чужие сервера 🎓🔐

▸ Аналитика без компромиссов

Загружай отчёты, данные, исследования → получай инсайты с полной цепочкой рассуждений. Прозрачность = доверие = скорость ⚖️📊

▸ Масштабирование без подписок

Одна модель = команда ассистентов. Не нужно платить за каждое место, за каждый запрос, за каждую фичу. Заплатил один раз — временем на настройку 👥💡

▸ Конкурентное преимущество

Пока другие зависят от облачных лимитов, ты работаешь локально, быстро, без ограничений. Скорость × приватность × качество = лидерство 🏆⚡️

> Забирай, настраивай, масштабируй. Твой домашний ИИ-монстр уже ждёт.

⏳⏳⏳⏳⏳⏳⏳⏳

👩‍🍼 Это наш ИИ-Продавец

🫢 Маркетплейс ИИ-Менеджеров

▶️ Это наш Ютубчик

💬 Это наша ВКшечка

#llm