Найти в Дзене
Войти
ЕГЭ Студия
27 подписчиков
Подписаться
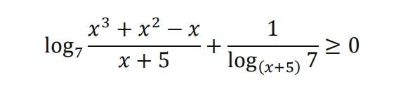
Решите неравенство
Вчера
Вчера
~1 мин
Ответы в комментарии Заметили ловушку? Тоже пишите в комментариях💪
Ответы в комментарии Заметили ловушку? Тоже пишите в комментариях💪
...
Читать далее
Решите неравенство
Ответы в комментарии
Заметили ловушку? Тоже пишите в комментариях💪
Подготовка к ЕГЭ
128,7 тыс интересуются
Следить за темой