Добавить в корзинуПозвонить
Найти в Дзене

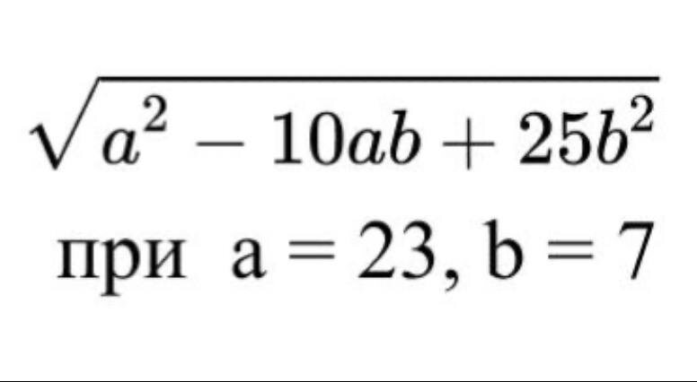
Задание из банка ФИПИ (номер 8 на ОГЭ), на котором многие попадаются

🤷🏻‍♀️ А какой ответ получится у вас?

Задание из банка ФИПИ (номер 8 на ОГЭ), на котором многие попадаются 🤷🏻‍♀️

А какой ответ получится у вас?