Добавить в корзинуПозвонить
Найти в Дзене
Алексей Кондратенко

Время: как будущее становится настоящим?

Научпоп нам неустанно напоминает Эйнштейновскую геометрическую модель пространство-времени, где время это пассивное измерение, подверженное деформации массой и направленное вперед в термодинамической причинности.
Но такой взгляд не может полностью объяснить, как именно будущее становится настоящим и где этот процесс происходит? Ответ на этот вопрос интересует меня давно, и здесь я предложу пару
Оглавление
Время как корреляционный оператор между всеми возможными состояниями материи. Статья Алексея Кондратенко
Время как корреляционный оператор между всеми возможными состояниями материи. Статья Алексея Кондратенко

Научпоп нам неустанно напоминает Эйнштейновскую геометрическую модель пространство-времени, где время это пассивное измерение, подверженное деформации массой и направленное вперед в термодинамической причинности.

Но такой взгляд не может полностью объяснить, как именно будущее становится настоящим и где этот процесс происходит? Ответ на этот вопрос интересует меня давно, и здесь я предложу пару авторских дополнений к достижениям именитых физиков.

Мы взглянем на время как на взаимосвязь, появляющуюся между наиболее вероятными событиями. Мы увидим, что такое будущее, и как оно становится реальностью. Это будет строгая математика без капли фантастики, только передовая физика, над которой бьются десятилетиями.

Время как корреляционный оператор между всеми возможными состояниями материи

Квантовая теория поля в формализме интегралов по траекториям (фейнмановских интегралов) предлагает непротиворечивый способ описания эволюции квантовых систем через суммирование по всем возможным путям. Но в макроскопическом пределе возникает проблема перехода от суперпозиции вероятностных амплитуд к единственной классической реализации.

Переход от «неопределенных вероятностей» к «определенной реальности» формально не описан ранее внутри математического аппарата интегралов. Однако у этого перехода есть выраженный временной оттенок: он требует необратимости (роста энтропии) и происходит асимметрично во времени, что выделяет направление от прошлого (где были возможности) к будущему (где зафиксирован факт)

В статье я предлагаю рассмотреть гипотезу, согласно которой время не является внешним параметром, а выступает оператором корреляции между всеми конфигурациями материи, а фиксация реальности соответствует декогеренции в пространстве этих корреляций.

Иными словами: будущее — это то, с чем текущая конфигурация материи имеет максимальную амплитуду корреляции в рамках интеграла по траекториям, но эта корреляция еще не переведена в классическую определенность из-за отсутствия декогеренции с окружением.

Этот взгляд убирает время как статическое измерение и показывает время как часть акта становления реальности.

Математическое обоснование:

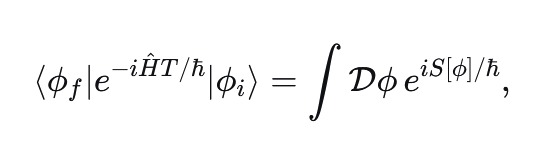
1. Формализм интегралов по траекториям и классический предел

Амплитуда перехода квантовой системы из состояния ϕi​ в состояние ϕf​ за интервал T задаётся функциональным интегралом:

Интегральная физика времени. Фейнман, 1948
Интегральная физика времени. Фейнман, 1948

где S[ϕ] = ∫0T​dtL(ϕ, ϕ˙​) — классическое действие, Dϕ — мера на пространстве всех полевых конфигураций (траекторий).

В макроскопическом пределе S ≫ ℏ доминирующий вклад в интеграл дают траектории, удовлетворяющие принципу стационарного действия δS = 0. Остальные траектории интерферируют деструктивно, подавляя квантовые эффекты. Это объясняет, почему макроскопические объекты подчиняются классической динамике, но не отвечает на вопрос, почему фиксируется одна траектория, а не сохраняется суперпозиция классически различимых альтернатив.

2. Декогеренция как механизм селекции классической реальности

Переход от квантовой суперпозиции к классической смеси описывается в рамках теории открытых квантовых систем. Рассматривая систему S в окружении E, редуцированная матрица плотности эволюционирует как:

Интегральная физика времени. Стандарт открытых квантовых систем
Интегральная физика времени. Стандарт открытых квантовых систем

В базисе, диагонализующем наблюдаемые окружения, недиагональные элементы ρS​ экспоненциально подавляются со временем:

Интегральная физика времени. Зурек, 1992
Интегральная физика времени. Зурек, 1992

В терминах интегралов по траекториям декогеренция проявляется как потеря когерентности между разными классами историй:

Интегральная физика времени. Функционал влияния Фейнмана-Вернона, 1963
Интегральная физика времени. Функционал влияния Фейнмана-Вернона, 1963

где F[ϕ, ϕ′] — функционал влияния окружения, экспоненциально малый для макроскопически различимых траекторий ϕ и ϕ′. Декогеренция не постулирует коллапс волновой функции, но объясняет, почему наблюдатель не воспринимает суперпозиции макроскопических состояний.

3. Время как оператор корреляции между конфигурациями материи

В общей теории относительности и квантовой гравитации время перестаёт быть абсолютным параметром. В формализме Уилера — Дьюитта волновая функция Вселенной удовлетворяет уравнению:

H^Ψ=0

что указывает на отсутствие внешнего времени. В этом контексте время может быть введено реляционно — как мера корреляции между физическими переменными.

Пусть C — пространство конфигураций полей материи и геометрии. Для двух конфигураций C1, C2 ∈ C. Определим амплитуду перехода без внешнего времени:

Интегральная физика времени. Алексей Кондратенко, 2026
Интегральная физика времени. Алексей Кондратенко, 2026

где интегрирование ведётся по всем геометриям и полям, интерполирующим между C1​ и C2​. Тогда оператор времени T^ можно определить как такой оператор в гильбертовом пространстве состояний, что его матричные элементы:

Интегральная физика времени. Алексей Кондратенко, 2026. Альтернатива формуле Паганини 1983.
Интегральная физика времени. Алексей Кондратенко, 2026. Альтернатива формуле Паганини 1983.

где τ(C1,C2) — скалярная функция, параметризующая корреляционную меру между конфигурациями Вселенной. В частном случае, когда существует выделенная переменная X (например, средняя плотность материи), время может быть определено как:

Интегральная физика времени. t = (⟨X(t)⟩ − ⟨X(0)⟩)/⟨Ẋ⟩
Интегральная физика времени. t = (⟨X(t)⟩ − ⟨X(0)⟩)/⟨Ẋ⟩

Однако в общем случае время становится оператором, спектр которого отражает возможные корреляционные расстояния между конфигурациями.

4. Редукция неопределённости как фиксация корреляций

В реляционном подходе понятия прошлого, настоящего и будущего переопределяются:

Прошлое: множество конфигураций Cp​, для которых амплитуда Ψ(Cnow​,Cp​) отлична от нуля и зафиксирована необратимыми корреляциями с окружением (следами в среде).

Настоящее: текущая конфигурация Cnow​, выступающая точкой отсчёта для корреляций.

Будущее: множество конфигураций Cf​, для которых Ψ(Cnow,Cf) ≠ 0, но корреляции с окружением ещё не установлены, т.е. система сохраняет когерентность относительно этих альтернатив.

Процесс становления определённой реальности — это переход когерентной суперпозиции возможных будущих корреляций в фиксированную корреляцию с окружением. Математически это описывается как:

Интегральная физика времени. Авторский синтез двух раздельных идей Ровелли и Зурека в единый формализм, Алексей Кондратенко.
Интегральная физика времени. Авторский синтез двух раздельных идей Ровелли и Зурека в единый формализм, Алексей Кондратенко.

где p(Cf​) — классические вероятности. Временной параметр в этом процессе не является фундаментальным, а возникает как нумератор последовательности актов фиксации корреляций.

5. Стрела времени и граничные условия

Симметрия фундаментальных взаимодействий относительно обращения времени в рамках интегралов по траекториям нарушается космологическими граничными условиями. В формализме Хартли — Хокинга волновая функция Вселенной задаётся интегралом по компактным евклидовым геометриям:

Интегральная физика времени. Хартли-Хокинг, 1983
Интегральная физика времени. Хартли-Хокинг, 1983

где SE​ — евклидово действие. Асимметрия между прошлым и будущим возникает из-за низкой энтропии в начальной сингулярности, что задаёт направление роста зафиксированных корреляций. В терминах корреляционного оператора это означает, что собственные значения T^ упорядочены вдоль направления возрастания энтропии.

Заключение

В рамках представленной статьи обосновано, что:

1. Фейнмановские интегралы по траекториям в макроскопическом пределе редуцируются к классическим траекториям за счёт интерференционного подавления, но не объясняют однозначной фиксации реальности.

2. Декогеренция, описываемая в терминах функционала влияния, обеспечивает селекцию классических альтернатив без постулирования коллапса.

3. В отсутствие внешнего времени (квантовая гравитация) время может быть введено как оператор корреляции между конфигурациями материи, где амплитуда перехода задаётся интегралом по геометриям и полям.

4. Прошлое, настоящее и будущее интерпретируются через степень зафиксированности корреляций с окружением.

5. Стрела времени возникает из граничных условий (начальной низкой энтропии) и проявляется как направление роста числа зафиксированных корреляций.

Таким образом, время выступает не как статическое измерение, на котором разворачивается реальность, а как неотъемлемая часть акта становления реальности, параметризующая последовательность фиксации корреляций между конфигурациями материи. При этом, такой взгляд на время не противоречит континууму Эйнштейна, так как время остается одномерным, а его эфимерные альтернативы мгновенно схлопываются по тому же принципу, по которому коллапсирует и квантовая система в момент наблюдения.