Найти в Дзене
⚡ Инженерные Знания

Формула та же… но вещество другое. В чём подвох?

Можно ли считать два вещества одинаковыми, если у них одна и та же молекулярная формула (запись, которая показывает, какие атомы входят в состав вещества и в каком количестве)? Интуитивно кажется, что конечно же да. Ведь формула фиксирует точный набор атомов. Но в реальности этого недостаточно. Молекулярная формула - это лишь перечень «ингредиентов», тогда как свойства вещества определяются ещё и тем, как эти атомы соединены и как организованы в пространстве. Парадоксально, но даже минимальное изменение структуры может полностью изменить физические, химические и биологические характеристики вещества. И все вы знаете пример такого вещества, мы отметим его чуть позже. Одинаковый состав для материаловеда вовсе не означает одинаковое вещество. Это можно понять через аналогию с конструктором. Если у вас есть один и тот же набор деталей, вы можете собрать из них разные объекты и каждый будет вести себя по-своему. Детали при этом будут одинаковыми. В химии роль «сборки» играет структура - п

Можно ли считать два вещества одинаковыми, если у них одна и та же молекулярная формула (запись, которая показывает, какие атомы входят в состав вещества и в каком количестве)? Интуитивно кажется, что конечно же да. Ведь формула фиксирует точный набор атомов.

Коты похожи, но всё-таки разные
Коты похожи, но всё-таки разные

Но в реальности этого недостаточно. Молекулярная формула - это лишь перечень «ингредиентов», тогда как свойства вещества определяются ещё и тем, как эти атомы соединены и как организованы в пространстве.

Парадоксально, но даже минимальное изменение структуры может полностью изменить физические, химические и биологические характеристики вещества. И все вы знаете пример такого вещества, мы отметим его чуть позже.

Одинаковый состав для материаловеда вовсе не означает одинаковое вещество. Это можно понять через аналогию с конструктором. Если у вас есть один и тот же набор деталей, вы можете собрать из них разные объекты и каждый будет вести себя по-своему. Детали при этом будут одинаковыми. В химии роль «сборки» играет структура - порядок связей между атомами и их пространственное расположение.

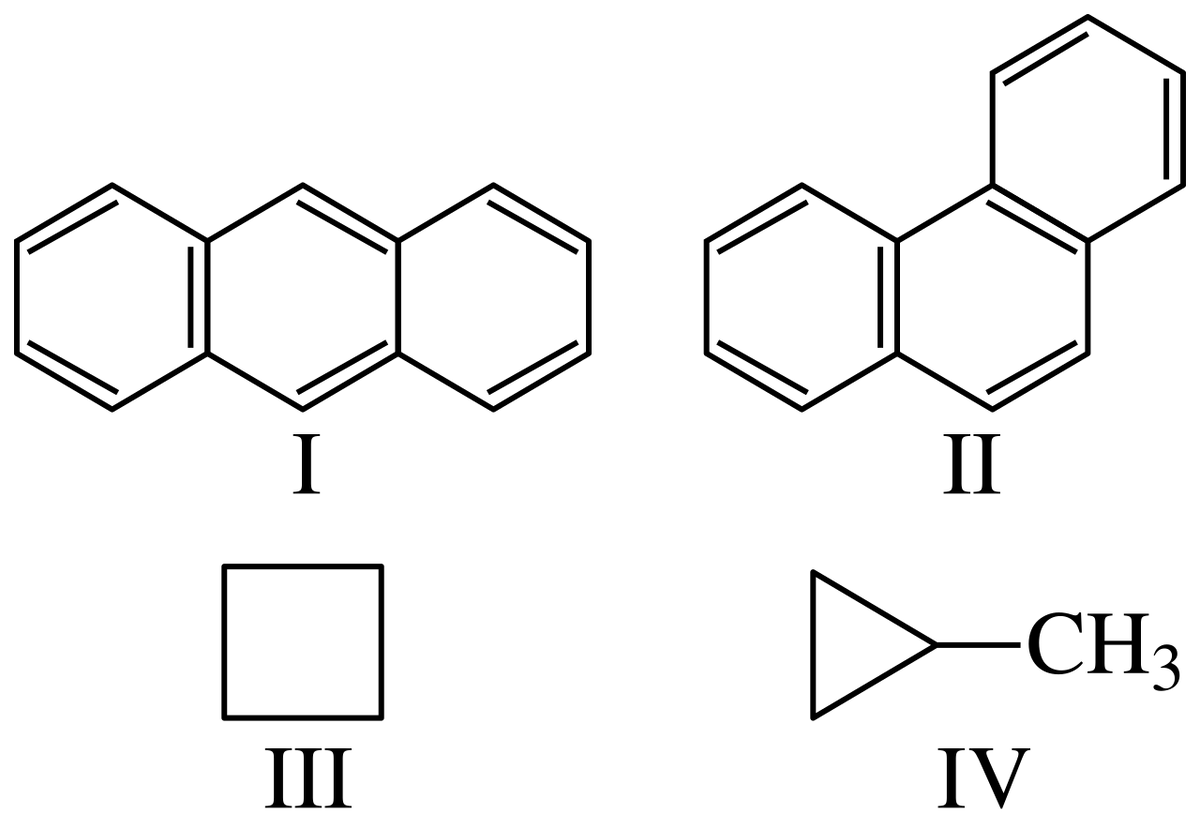
Первый уровень различий - это изомерия.

Изомеры
Изомеры

Изомеры - это соединения с одинаковой молекулярной формулой, но разным строением молекулы. Существует несколько типов изомерии, и каждый из них влияет на свойства по-своему. Структурные (или конституционные) изомеры отличаются тем, какие атомы с какими связаны.

Например, формула C₂H₆O может соответствовать этанолу или диметиловому эфиру. В этаноле кислород связан с углеродом и водородом, образуя гидроксильную группу, что делает молекулу способной к водородным связям - отсюда высокая температура кипения и жидкое состояние при комнатной температуре. В диметиловом эфире кислород соединяет два углерода, и таких сильных межмолекулярных взаимодействий нет - поэтому это уже газ с совершенно другими свойствами.

Другой важный тип - стереоизомерия, когда связи между атомами одинаковы, но различается их пространственное расположение. Это особенно критично в биохимии. Например, молекулы могут быть зеркальными отражениями друг друга (энантиомеры), как левая и правая рука. На уровне химической формулы они идентичны, но живые системы «распознают» их по-разному. Один энантиомер может быть лекарством, а другой - неактивным или даже токсичным. Это связано с тем, что биологические молекулы (ферменты, рецепторы) сами имеют строго определённую трёхмерную форму.

Второй уровень различий возникает уже не на уровне отдельной молекулы, а на уровне вещества в целом - это полиморфизм. Здесь молекулы одинаковы, но по-разному упакованы в кристаллической решётке. Такое различие влияет на плотность, твёрдость, прозрачность, температуру плавления и даже растворимость.

Одна формула - разные материалы
Одна формула - разные материалы

Самый известный пример, который я обещал выше вспомнить - это углерод. В алмазе каждый атом связан с четырьмя соседями в жёсткую трёхмерную сеть, что делает материал чрезвычайно твёрдым и прозрачным. В графите атомы образуют плоские слои с сильными связями внутри слоя и слабыми между слоями, поэтому он мягкий и легко расслаивается.

Полиморфизм играет огромную роль в промышленности и фармацевтике. Один и тот же лекарственный препарат может существовать в разных кристаллических формах, и каждая из них будет по-разному растворяться в организме. Это напрямую влияет на эффективность и безопасность. Известны случаи, когда изменение полиморфной формы уже выпускаемого препарата приводило к снижению его биодоступности.

Ещё один показательный пример... какао-масло. Оно может кристаллизоваться в нескольких формах, различающихся упаковкой молекул жира. Только одна из них даёт тот самый «идеальный» шоколад - с блеском, характерным хрустом и температурой плавления чуть ниже температуры тела. Остальные формы делают шоколад либо слишком мягким, либо ломким, либо покрытым белёсым налётом. Именно поэтому процесс темперирования - это контроль над кристаллической структурой, а не просто «нагрев и охлаждение».

Важно понимать, что структура влияет не только на макроскопические свойства, но и на энергетическое состояние вещества. Разные изомеры и полиморфы могут иметь разную внутреннюю энергию, а значит и разную стабильность.

Некоторые формы существуют только при определённых условиях температуры и давления, а при их изменении переходят в более устойчивые состояния. Эти переходы могут сопровождаться выделением или поглощением энергии, что важно, например, в материаловедении и химической технологии.

Так что молекулярная формула - это лишь отправная точка. Она говорит, какие атомы присутствуют, но ничего не сообщает о том, как именно они организованы. А именно организация определяет всё.

⚠️ Пишу большой научпоп курс про загадки материи - добро пожаловать сюда.

Не забывайте ставить лайки статье и подписываться! Это очень важно для развития проекта, а вы будете видеть ещё больше интересных статей в ленте!