Найти в Дзене
Кризистан

Какой должна быть минимальная зарплата в России? Посчитал по нормативам расхода на хлеб и электричество

Миронов говорит, 60 тысяч нужно людям платить минимум. Перебор это или нет? Давайте считать. О бедности и низких зарплатах у нас много говорят. И все сходятся в одном мнении: работающий на условиях полной трудовой недели человек не должен быть беден. Вложил свой труд, получи достойную оплату. Неважно, что ты делал, за малышами в детском саду присматривал или улицы подметал. Минимальная зарплата гарантирована, и ее должно хватать на покрытие хотя бы базовых расходов человека. Миронов недавно выдал: «60 тысяч нужно платить минимум». Обычные люди соглашаются, вижу по лайкам под его цитатами в сети. Крайне мало тех, кто крутит пальцем у виска и спрашивает, откуда компаниям, предпринимателям и бюджету брать деньги, чтоб столько платить? А я предлагаю вспомнить старый, но работающий ориентир, который в конце прошлого века придумали в ООН. Я о нем писал еще в 2018 году. Считал «правильную минималку» по тогдашним ценам и получал суммы, которые казались фантастическими. С тех пор МРОТ поднимали
Оглавление

Миронов говорит, 60 тысяч нужно людям платить минимум. Перебор это или нет? Давайте считать.

О бедности и низких зарплатах у нас много говорят. И все сходятся в одном мнении: работающий на условиях полной трудовой недели человек не должен быть беден. Вложил свой труд, получи достойную оплату. Неважно, что ты делал, за малышами в детском саду присматривал или улицы подметал. Минимальная зарплата гарантирована, и ее должно хватать на покрытие хотя бы базовых расходов человека.

Миронов недавно выдал: «60 тысяч нужно платить минимум». Обычные люди соглашаются, вижу по лайкам под его цитатами в сети. Крайне мало тех, кто крутит пальцем у виска и спрашивает, откуда компаниям, предпринимателям и бюджету брать деньги, чтоб столько платить? А я предлагаю вспомнить старый, но работающий ориентир, который в конце прошлого века придумали в ООН.

Я о нем писал еще в 2018 году. Считал «правильную минималку» по тогдашним ценам и получал суммы, которые казались фантастическими. С тех пор МРОТ поднимали каждый год, но и цены, сами знаете, не стоят на месте. Давайте посчитаем заново. Абсолютно непредвзято, на цифрах Росстата и актуальных тарифах. Заодно и проверим, насколько мы близки к тому, чтобы человек на минималке мог чувствовать себя человеком, завести семью и детей.

Что за норматив достаточности минимальных зарплат?

В идеале двух минималок должно хватать на базовые траты семье с детьми
В идеале двух минималок должно хватать на базовые траты семье с детьми

ООН — организация надгосударственная и приказы в духе «платить не меньше Х рублей в месяц» раздавать не может. Но 30 лет назад они озаботились вопросом: как сравнивать уровень жизни в разных странах, где везде своя валюта, свои цены и свои традиции? И придумали универсальную мерку. Не доллар и не евро, а то, что есть везде: хлеб и электричество.

Рекомендация звучит так: человек, отработавший месяц за минимальную зарплату, должен иметь возможность оплатить либо 10 тысяч кВт-ч электроэнергии, либо купить 600 кг хлеба. Не одновременно, конечно, а так, чтобы минималка покрывала одну из этих базовых потребностей.

Норматив добровольный, никто не заставляет его исполнять. Но если страна хочет называться социальной, заботиться о своем населении и воспитывать в людях уважение к труду, к таким ориентирам прислушиваются.

Считаем на хлебе

Тут все просто. Росстат еженедельно проверяет и регулярно публикует средние потребительские цены. Берем свежий отчет на 16 марта 2026 года. В недельном мониторинге два основных вида хлеба: ржаной и из смешанной муки (то, что мы привыкли называть «черным» или «серым») и пшеничный из муки разных сортов («белый», он же батон).

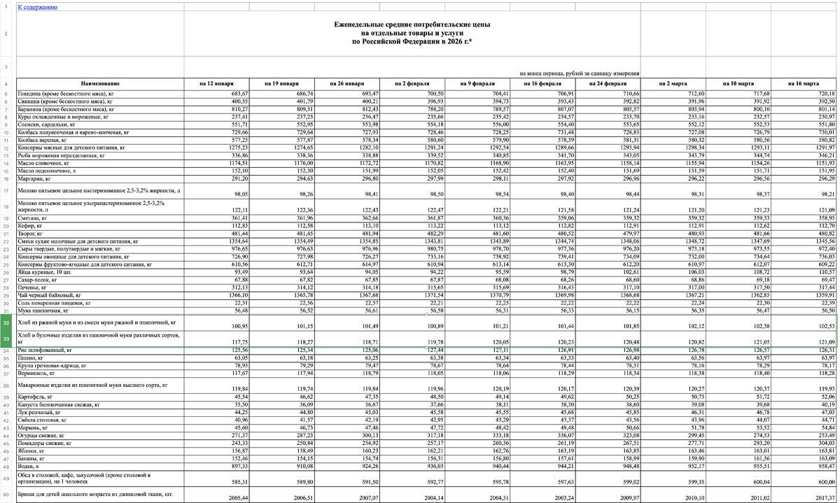
Еженедельные средние потребительские цены от Росстата
Еженедельные средние потребительские цены от Росстата

Средние по России цены за килограмм:

  • Хлеб ржаной, ржано-пшеничный — 102,53 рубля.
  • Хлеб пшеничный — 121,09 рубля.

Почему два вида? Потому что в реальной жизни люди покупают и то, и другое. А в норматив заложен именно хлеб как базовая категория, без уточнения сорта. Где-нибудь в Азии в таких же расчетах мой китайский или японский коллега-экономист возьмет, скорее всего, хлеб из рисовой муки.

Я решил показать оба варианта, чтобы была видна вилка. Умножаем на норму ООН — 600 кг. И получаем:

  • По черному хлебу: 102,53 × 600 = 61518 рублей.
  • По белому хлебу: 121,09 × 600 = 72654 рубля.

Уже интересно. Даже нижняя планка перевалила за те 60 тысяч, которые называл Миронов. А если считать по пшеничному, получается почти в 2,7 раза выше нашего нынешнего МРОТ.

Может, на электричестве наш результат будет лучше?

-3

Все-таки с энергетикой у нас все прекрасно, кхе-кхе. И для себя энергии хватает, и соседям продаем. Но… в плане расчета минималки оказалось чуть сложнее. Дело в том, что Росстат в своих еженедельных отчетах приводит среднюю стоимость услуг по снабжению электроэнергией, и на третьей неделе марта это 548 рублей. Цифра непригодна для прямого умножения, потому что она не отражает реальный тариф за киловатт-час. Там какая-то усредненная сумма с непонятным объемом потребления, похоже. Если на семью, то слишком маленькая сумма. Скорее на человека, но методичку я не искал, просто сделал вывод, что использовать ее для расчета по нормативу — только цифры портить.

Поэтому беру то, что есть в прошлогодних данных по тарифам для населения у того же Росстата. На 1 июля 2025 года средний по стране тариф составлял 5,9 рубля за кВт-ч. Сейчас, после индексации, он уже чуть выше, примерно 6,2–6,5 рубля. И по регионам сильные отличия: в одних меньше 2 рублей за киловатт, а где-то уже 12 платят.

Для чистоты эксперимента оставим прошлогодние 5,9. Пусть будет с запасом в пользу государства.

Считаем: 10000 кВт-ч × 5,9 рубля = 59000 рублей.

Если взять актуальные тарифы 2026 года, сумма перевалит за 62 тысячи. Но и так понятно: электрический норматив тоже даёт результат близкий к 60 тысячам, а не к имеющемуся уровню минималки 27093 рубля.

Сколько недоплачивают и есть ли прогресс?

На хлеб денег нет, едим пирожные
На хлеб денег нет, едим пирожные

Если бы мы всерьез захотели выполнить рекомендации, минимальная зарплата в России должна была бы составлять от 59 до 73 тысяч рублей в месяц. В зависимости от того, по какому продукту считать.

У нас работнику на МРОТ недоплачивают в 2,2–2,7 раза по сравнению с тем, что рекомендуется. В деньгах это от 32 до 45 тысяч рублей ежемесячно.

Я прекрасно понимаю, что нормативы — не закон. Никто не собирается завтра поднимать минималку до 70 тысяч, потому что бюджет не резиновый, а работодатели начнут массово уходить в тень. Но эти цифры показывают другое: стоимость рабочей силы в нашей стране давно оторвалась от реальных потребностей человека.

Когда я писал первую версию этой статьи в 2018 году, МРОТ был смешным — около 11 тысяч. Тогда расчеты давали суммы 25-38 тысяч, и разрыв был тоже двух-трехкратным. Минималку с тех пор подняли в 2,5 раза, но и цены выросли так, что разрыв почти не сократился. Мы догоняем, но цель уходит вперед с той же скоростью. По факту, 8 лет прошло, а воз и ныне там.

Благодарю за лайки! Подписывайтесь здесь и в телеграм, всем рад.