Добавить в корзину
Позвонить
Найти в Дзене
Войти
Евгений Сумин - ГЕОМЕТРИЯ С НУЛЯ
2045 подписчиков
Подписаться
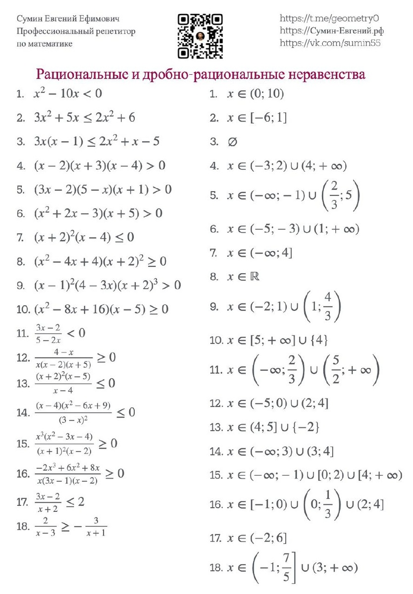
Рациональные и дробно-рациональные неравенства
16 марта
16 мар
141
~1 мин
✔️ Скачать pdf
✔️ Скачать pdf
...
Читать далее
Рациональные и дробно-рациональные неравенства ✔️
Скачать pdf
Наука
7 млн интересуются
Следить за темой
10
4250155480.943.1778594858978.38915