Добавить в корзинуПозвонить
Найти в Дзене

Освой 2 типа заданий с логарифмами из ЕГЭ и получи + баллы.

Готовитесь к ЕГЭ, а задания с логарифмами кажутся Вам сложными? Давай разберем 2 типовых уравнения, чтобы набрать баллы. Не переживай, если сразу все не получится. После просмотра решений пробуй решать сам, ведь на экзамене нито тебе помогать не будет. Давайте посмотрим на примеры! ПРИМЕР 1. Так как у обоих логарифмов одинаковое основание, то выражения под знаком логарифма в обеих частях уравнения можно приравнять, а затем решить простое линейное уравнение. ПРИМЕР 2. По свойству логарифмов, из списка разрешенных формул разность логарифмов запишем как логарифм частного. Что‑то осталось неясным? Пишите в комментариях — объясню подробнее или запишу видеоурок! Надо срочно подготовиться к ЕГЭ по другим предметам? Заходи сюда. Репетиторы научат: -решать задачи по шагам, а не наугад; -только основной материал, без воды; -все занятия в удобное время. Начните сегодня — и через 2 недели увидите рост оценок! Успехов в учёбе!

Готовитесь к ЕГЭ, а задания с логарифмами кажутся Вам сложными? Давай разберем 2 типовых уравнения, чтобы набрать баллы.

Не переживай, если сразу все не получится. После просмотра решений пробуй решать сам, ведь на экзамене нито тебе помогать не будет.

Давайте посмотрим на примеры!

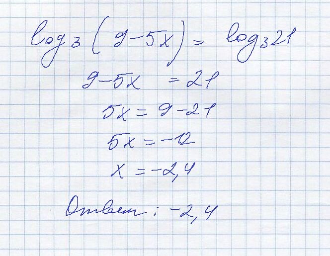
ПРИМЕР 1.

Так как у обоих логарифмов одинаковое основание, то выражения под знаком логарифма в обеих частях уравнения можно приравнять, а затем решить простое линейное уравнение.

-2

ПРИМЕР 2.

-3

По свойству логарифмов, из списка разрешенных формул

-4

разность логарифмов запишем как логарифм частного.

-5

Что‑то осталось неясным? Пишите в комментариях — объясню подробнее или запишу видеоурок!

Надо срочно подготовиться к ЕГЭ по другим предметам? Заходи сюда. Репетиторы научат:

-решать задачи по шагам, а не наугад;

-только основной материал, без воды;

-все занятия в удобное время.

Начните сегодня — и через 2 недели увидите рост оценок!

Успехов в учёбе!