Добавить в корзинуПозвонить
Найти в Дзене
IRINA ABRAMOVA

Разбор заданий 6-14 по алгебре Вариант МА2590401

Разбор заданий 6–14 по алгебре (9 класс): быстрые баллы, которые часто теряют ученики
После первых задач с планом местности в работе идут задания по алгебре.
Это задания 6–14, и они считаются самыми «быстрыми» — их можно решить за несколько минут. 
Но именно здесь ученики часто допускают ошибки из-за невнимательности.

Разбор заданий 6–14 по алгебре (9 класс): быстрые баллы, которые часто теряют ученики

После первых задач с планом местности в работе идут задания по алгебре.

Это задания 6–14, и они считаются самыми «быстрыми» — их можно решить за несколько минут. 

Но именно здесь ученики часто допускают ошибки из-за невнимательности.

Разберём несколько задач из этого блока.

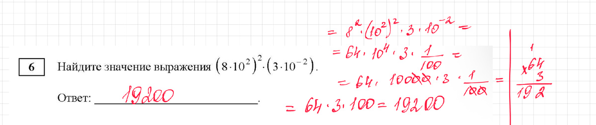
Задание 6. Работа со степенями

В выражении нужно аккуратно применить свойства степеней.

Главное правило:

• при возведении степени в степень показатели умножаются

• при умножении одинаковых оснований степени складываются

Если сначала упростить выражение, то вычисления становятся очень простыми.

-2

Правильный ответ: 19200

Задание 7. Дробь и числовой промежуток

Нужно определить, в какой промежуток попадает дробь.

-3

Удобно поделить в столбик числитель дроби на знаменатель:

-4

Это число находится между 0,4 и 0,5.

✅ Ответ: 4

Задание 8. Квадратный корень

Здесь используется важное правило:

-5

Поэтому выражение

-6

превращается в

-7

После сложения выражение упрощается до 5.

-8

✅ Ответ: 5

Задание 9. Линейное уравнение

-9

Уравнение решается стандартно.

9+8x=6x-2

Переносим неизвестные в одну сторону:

2x=-11

x=-5,5

-10

✅ Ответ: -5,5

Задание 10. Вероятность

-11

В задаче сказано, что из 200 фонариков 4 неисправны.

Исправных:

200-4=196

Вероятность выбрать исправный фонарик:

196:200=0,98

-12

✅ Ответ: 0,98

Задание 11. Графики функций

-13

Здесь нужно сопоставить графики функций вида

-14

Важно помнить:

• если k>0, ветви находятся в I и III четвертях

• если k<0, ветви находятся во II и IV четвертях

По расположению ветвей на рисунке можно определить соответствие графиков.

-15

✅ Ответ: 231

Задание 12. Физическая формула

-16

Используется формула потенциальной энергии:

E=mgh

Подставляем значения из условия и находим массу:

m=20

-17

✅ Ответ: 20

Задание 13. Неравенство

-18

Раскладываем:

(x-5)(x+5)<0

Получаем промежуток:

-5<x<5

-19

✅ Ответ: 3

Задание 14. Арифметическая прогрессия

-20

Формула n-го члена прогрессии:

-21

Подставляем:

-22

✅ Ответ: 38

Итог

Задания 6–14 — это быстрые баллы.

Если хорошо знать базовые правила алгебры, их можно решить буквально за несколько минут.

Но ученики часто теряют здесь баллы из-за:

• спешки

• невнимательности

• забытых формул.

Если интересно, в следующей статье разберу самые сложные задания из этой работы — геометрию и задачи второй части.

Напишите в комментариях:

какое задание по математике для вас самое сложное?

-23