Найти в Дзене

Эскизный проект дома: что это и зачем он нужен?

Друзья, нам часто задают один и тот же вопрос: «С чего вообще начинать, если хотим построить дом?» Ответ прост и одновременно сложен: с эскизного проекта. Это не просто бумажка. Это мост между вашей мечтой и реальным домом на участке. Рассказываю по пунктам, чтобы всё стало ясно. Это «фотография» вашего будущего дома до того, как он построен. Набор чертежей, который позволяет увидеть его со всех сторон: — планировки (где какая комната),
— фасады (как выглядит снаружи),
— разрезы (что внутри стен),
— схема фундамента и кровли. По сути, это руководство к действию — и для вас, и для строителей. Вы понимаете, что получаете. Строители понимают, что делать. Как строится работа над проектом: два этапа ✅ Этап 1. Творчество (самый увлекательный)
Мы создаём планировки и общий вид дома. Здесь можно и нужно фантазировать: рисовать от руки, присылать фото понравившихся домов, показывать интерьеры, которые зацепили. Это этап поиска — никаких ограничений, только ваши желания. ✅ Этап 2. Техническая де
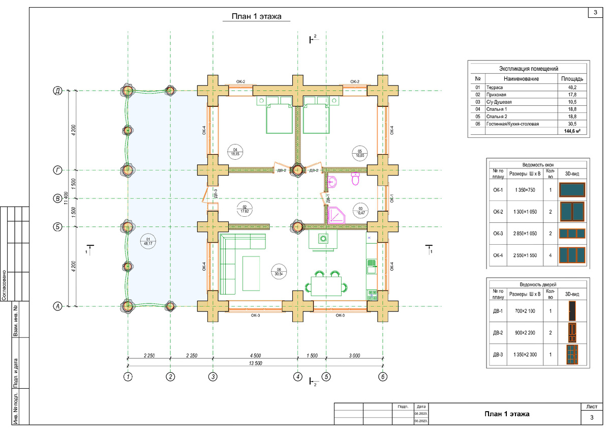
План дома в эскизном проекте
План дома в эскизном проекте

Друзья, нам часто задают один и тот же вопрос: «С чего вообще начинать, если хотим построить дом?»

Ответ прост и одновременно сложен: с эскизного проекта.

Это не просто бумажка. Это мост между вашей мечтой и реальным домом на участке. Рассказываю по пунктам, чтобы всё стало ясно.

Что такое эскизный проект простыми словами?

Это «фотография» вашего будущего дома до того, как он построен. Набор чертежей, который позволяет увидеть его со всех сторон:

— планировки (где какая комната),
— фасады (как выглядит снаружи),
— разрезы (что внутри стен),
— схема фундамента и кровли.

По сути, это руководство к действию — и для вас, и для строителей. Вы понимаете, что получаете. Строители понимают, что делать.

Виды дома в эскизном проекте
Виды дома в эскизном проекте

Как строится работа над проектом: два этапа

✅ Этап 1. Творчество (самый увлекательный)
Мы создаём планировки и общий вид дома. Здесь можно и нужно фантазировать: рисовать от руки, присылать фото понравившихся домов, показывать интерьеры, которые зацепили. Это этап поиска — никаких ограничений, только ваши желания.

✅ Этап 2. Техническая детализация
Когда эскизы утверждены, мы разрабатываем все остальные чертежи. Здесь глобальные изменения (например, переставить комнаты местами) уже не вносятся. Но возможна точная настройка:
— сдвинуть окно на полметра,
— изменить высоту потолков,
— расставить сантехнику так, как удобно вам.

А что со стоимостью?

Чтобы рассчитать цену самого проекта, нужна примерная планировка и этажность. Стоимость считается от строительной площади.

А вот чтобы понять, во сколько обойдётся строительство дома — без проекта не обойтись. Именно эскизный проект даёт самую точную смету. Без него все цифры — пальцем в небо.

Особый случай: дом из бревна

Если вы строите из бревна, есть важный нюанс. Бревно — живой, природный материал. Оно:
— может чуть варьироваться в диаметре,
— даёт усадку со временем.

Эти особенности мы заранее закладываем в проект, чтобы потом не было сюрпризов: чтобы окна не перекосило, двери закрывались плотно, а углы не гуляли.

Хотите прикинуть проект для вашего участка?

Вдохновляйтесь нашими реализованными проектами.

Обсудите с архитектором все индивидуальные особенности участка и будущего дома.

Приезжайте на разговор или просто позвоните — всё обсудим и найдем лучшее решение для ваших условий.

Константин
+7 922 228-81-12 (WA, Telegram, звонок)
ДревМастер | Рубим дома и бани в Екатеринбурге, отправляем по всей России.

#эскизныйпроект #проектдома #строительстводомов #деревянныйдом #проектирование #древмастер #Екатеринбург