Добавить в корзинуПозвонить
Найти в Дзене
АиФ-Самара

Где в Самаре найти убежище в случае ракетной атаки – список адресов

В Самаре обнародовали перечень мест, где горожане смогут укрыться при объявлении ракетной опасности или угрозе атаки беспилотников. Информация размещена администрацией города. Информация своевременна. Напомним, 27 февраля в Самарской области впервые был объявлен сигнал ракетной опасности, а по всему региону сработали сирены. Для многих жителей это стало неожиданностью. В образовательных учреждениях, например, реакция на тревогу оказалась неодинаковой. В одних школах и детских садах детей оперативно переводили в безопасные помещения, в других занятия продолжились в обычном режиме. В опубликованный перечень вошли адреса в Ленинском районе Самары. Речь идет о защитных сооружениях и подвальных помещениях многоквартирных домов, которые приспособлены для временного размещения людей в случае чрезвычайной ситуации. Полный список адресов размещен ниже. По другим районам Самары, на момент написания материала, списков найти не удалось. Напомним также, что 4 марта в Самарской области, как и по все
   Где в Самаре найти убежище в случае ракетной атаки – список адресов
Где в Самаре найти убежище в случае ракетной атаки – список адресов

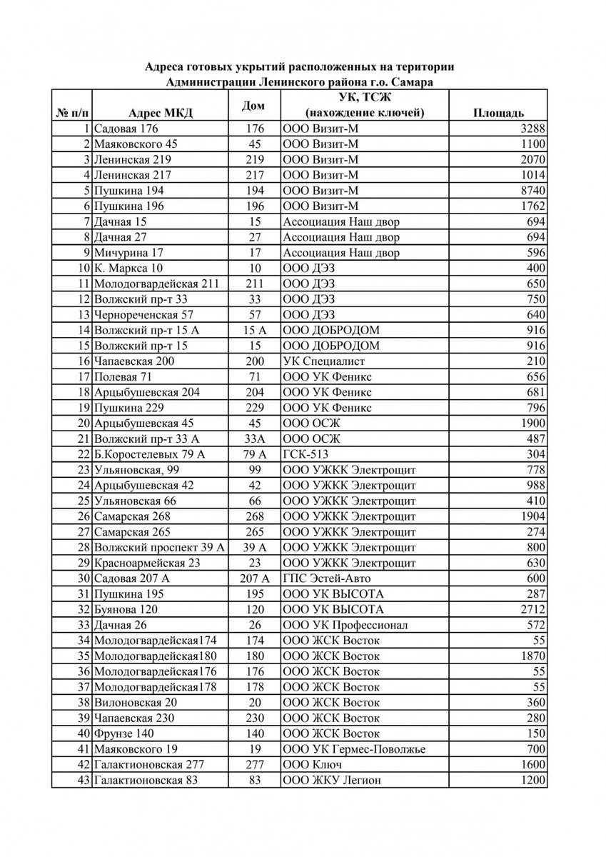
В Самаре обнародовали перечень мест, где горожане смогут укрыться при объявлении ракетной опасности или угрозе атаки беспилотников. Информация размещена администрацией города.

Информация своевременна. Напомним, 27 февраля в Самарской области впервые был объявлен сигнал ракетной опасности, а по всему региону сработали сирены. Для многих жителей это стало неожиданностью. В образовательных учреждениях, например, реакция на тревогу оказалась неодинаковой. В одних школах и детских садах детей оперативно переводили в безопасные помещения, в других занятия продолжились в обычном режиме.

В опубликованный перечень вошли адреса в Ленинском районе Самары. Речь идет о защитных сооружениях и подвальных помещениях многоквартирных домов, которые приспособлены для временного размещения людей в случае чрезвычайной ситуации. Полный список адресов размещен ниже.

По другим районам Самары, на момент написания материала, списков найти не удалось.

Напомним также, что 4 марта в Самарской области, как и по всей стране, состоится плановая тренировка систем оповещения. С 10:40 до 10:45 будут включены электросирены и громкоговорители на крышах жилых домов, административных зданий и в местах массового пребывания людей.