Найти в Дзене

Опубликованы адреса убежищ в Ленинском районе Самары

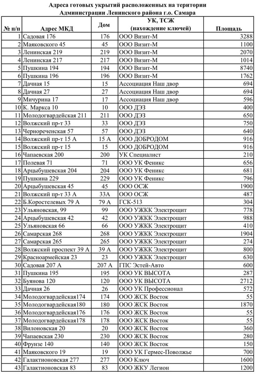
Власти Самары опубликовали список укрытий, где жители могут спрятаться в случае ракетной опасности или угрозы атаки беспилотных летательных аппаратов. Напомним, в пятницу, 27 февраля, Самарская область впервые столкнулась с объявлением реальной ракетной опасности: по всему региону завыли сирены. Сигнал застал врасплох граждан. В школах и детских садах реакция на угрозу оказалась разной: где-то детей экстренно уводили, а где-то продолжали уроки как ни в чем не бывало. Администрация опубликовала перечень адресов в Ленинском районе, где находятся защитные сооружения и укрытия. Список включает подвалы домов, приспособленные для временного пребывания людей во время чрезвычайных ситуаций. Жителям рекомендуют заранее ознакомиться с расположением укрытий и в случае объявления опасности действовать без паники, следуя указаниям сотрудников МЧС и представителей администрации. Для других районов Самары информация пока уточняется. Фото: документ на сайте Администрации г.о. Самара Фото: документ на

Власти Самары опубликовали список укрытий, где жители могут спрятаться в случае ракетной опасности или угрозы атаки беспилотных летательных аппаратов.

Напомним, в пятницу, 27 февраля, Самарская область впервые столкнулась с объявлением реальной ракетной опасности: по всему региону завыли сирены. Сигнал застал врасплох граждан. В школах и детских садах реакция на угрозу оказалась разной: где-то детей экстренно уводили, а где-то продолжали уроки как ни в чем не бывало.

Администрация опубликовала перечень адресов в Ленинском районе, где находятся защитные сооружения и укрытия. Список включает подвалы домов, приспособленные для временного пребывания людей во время чрезвычайных ситуаций.

Жителям рекомендуют заранее ознакомиться с расположением укрытий и в случае объявления опасности действовать без паники, следуя указаниям сотрудников МЧС и представителей администрации.

Для других районов Самары информация пока уточняется.

Фото: документ на сайте Администрации г.о. Самара

-2

Фото: документ на сайте Администрации г.о. Самара

-3

Фото: документ на сайте Администрации г.о. Самара

Читайте также:

Самарцы рассказали правду о том, что было в учебных заведениях во время реальной угрозы ракетной опасности

Глава СКР А. Бастрыкин взял на контроль дело о детях без кроватей в Самарской области после сюжета на ТВ

Самарским туристам дали инструкцию в связи с обстановкой на Ближнем Востоке

Родителей самарских школьников предупредили, где будут прятаться дети во время угрозы с воздуха

Самарцы утратят возможность прямого подключения к иностранным серверам из-за блокировки VPN