Найти в Дзене
Войти
СпецКурс
459 подписчиков
Подписаться
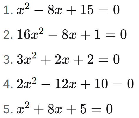
А8 ДЗ Решение квадратных уравнений
28 февраля
28 фев
4
Как это решать?
Как это решать?
...
Читать далее
Как это решать?