Найти в Дзене
Новости Рыбацкого

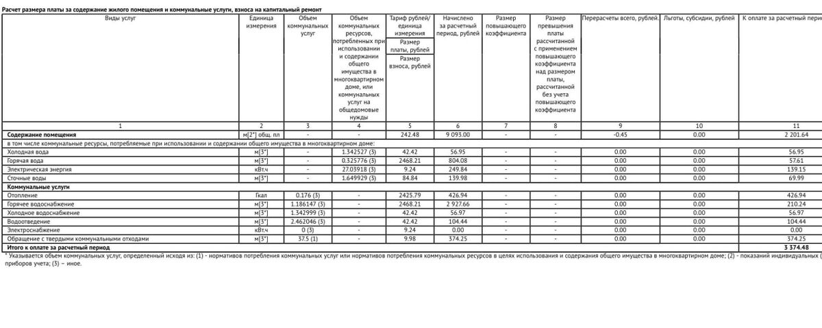
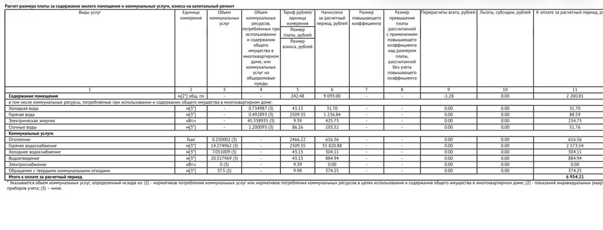
В ЖК «Невские паруса» горячая вода решила стать миллионером: жительница получила счёт за февраль, где строка «горячая вода» потянула на 35

820! Женщина уверяет, что живёт одна, показания передала верно и тайных спа-салонов в квартире не открывала. Возможно, трубы тайно подключились к межгалактической системе подогрева — или просто решили компенсировать все прошлые месяцы, когда вода была чуть теплее льда. 🚿💸 Пока она ищет утечку, коммунальщики, кажется, подсчитывают, как потратить вырученные средства на строительство личного курорта. Наши ресурсы 👇 Канал в MAX ✅ Канал в TG Паблик в VK ✅ О Рекламе

В ЖК «Невские паруса» горячая вода решила стать миллионером: жительница получила счёт за февраль, где строка «горячая вода» потянула на 35 820!

Женщина уверяет, что живёт одна, показания передала верно и тайных спа-салонов в квартире не открывала. Возможно, трубы тайно подключились к межгалактической системе подогрева — или просто решили компенсировать все прошлые месяцы, когда вода была чуть теплее льда. 🚿💸

Пока она ищет утечку, коммунальщики, кажется, подсчитывают, как потратить вырученные средства на строительство личного курорта.

Наши ресурсы 👇

Канал в MAXКанал в TG

Паблик в VKО Рекламе

-2