Добавить в корзинуПозвонить
Найти в Дзене
IRINA ABRAMOVA

🔥 Разбор 15-19 заданий Статград. Вариант МА2590401. Эти 5 заданий ОГЭ по математике каждый год «срезают» тысячи учеников

Каждый год на экзамене происходит одно и то же.
Ученики спокойно решают первые задания…
а потом доходят до 15–19 и начинают паниковать.
Хотя парадокс в том, что большинство этих задач решается за 1–2 минуты, если помнить несколько базовых формул.

Каждый год на экзамене происходит одно и то же.

Ученики спокойно решают первые задания…

а потом доходят до 15–19 и начинают паниковать.

Хотя парадокс в том, что большинство этих задач решается за 1–2 минуты, если помнить несколько базовых формул.

Разберём 5 последних заданий из реального варианта ОГЭ, максимально подробно.

Попробуйте сначала решить сами — а потом сравнить решение.

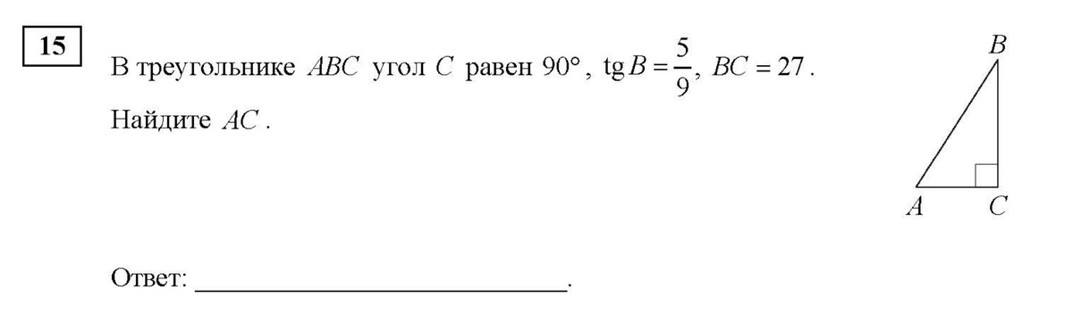
 Задание 15

-2

В треугольнике ABC угол C = 90

-3

Найти AC.

Шаг 1. Вспоминаем определение тангенса

В прямоугольном треугольнике

-4

Для угла B

противолежащий катет → AC

прилежащий катет → BC

Поэтому

-5

Шаг 2. Подставляем данные

-6

Шаг 3. Находим AC

-7

AC = 15

-8

✅  Ответ: 15

 Задание 16

-9

Радиус окружности, вписанной в трапецию, равен 34.

Найти высоту трапеции.

Главная идея задачи

Окружность касается обеих оснований.

Центр окружности находится на расстоянии радиуса от каждого основания.

Поэтому высота трапеции состоит из двух радиусов.

h = r + r

h = 2r

Подставляем:

-10

h = 68

-11

✅  Ответ: 68

 Задание 17

-12

Периметр ромба 72, один угол 30°.

Найти площадь ромба.

Шаг 1. Найдём сторону

У ромба все стороны равны.

P = 4a

4a = 72

a = 18

Шаг 2. Формула площади ромба

-13

Шаг 3. Подставляем

-14

-15

✅  Ответ: 162

 Задание 18

-16

На клетчатой бумаге нужно найти расстояние от точки до прямой.

Шаг 1. Соединяем точку В и точку С, чтобы получилась прямая ВС

-17

Шаг 2. Проводим прямую из точки А к прямой ВС

-18

Шаг 3. Считаем клетки от точки А до прямой ВС и записываем ответ.

-19

✅  Ответ: 5

 Задание 19

-20

Нужно выбрать верные утверждения.

Проверим первое утверждение:

Если две стороны одного треугольника равны двум сторонам другого, то треугольники равны.

 ❌ Неверно.

Нужно ещё равенство угла между ними.

Проверим второе утверждение:

Сумма острых углов прямоугольного треугольника равна 90°.

 ✅ Верно.

Сумма углов любого треугольника

180°

Один угол 90°

значит

90° + 90° = 180°

Проверим третье утверждение:

Любые два равносторонних треугольника подобны.

✅  Верно.

Все углы равны 60°

-21

 Если готовитесь к ОГЭ по математике — такие задания важно довести до автоматизма, потому что именно они дают лёгкие баллы.

Напишите в комментариях «РАЗБОР» — выложу ещё один вариант ОГЭ с подробным решением.