Добавить в корзинуПозвонить
Найти в Дзене

Параметры - главная страх на ЕГЭ😱

До ЕГЭ остаётся всё меньше времени, а задание № 18 (с параметрами) по‑прежнему вызывает сложности даже у сильных учеников. В демоверсии профильного ЕГЭ эта задача демонстрирует: здесь мало знать формулы — нужно видеть все возможные случаи и чётко оформлять решение. Разберём типичную ловушку на примере и подскажем, как подготовить ребёнка к успеху. Маша уверенно решала уравнения и неравенства, но на пробнике «споткнулась» на задании с параметром. Причина: она рассмотрела только один случай, пропустив важный момент с вырождением уравнения. После разбора ошибки и отработки алгоритма Маша научилась получать полный балл. Разберём похожий пример из демоверсии. Найдите все значения параметра a, при каждом из которых уравнение имеет ровно одно решение. Шаг 1. Анализируем коэффициент при x^2 Это неверное равенство — решений нет. Значит, a=2 не подходит. Шаг 2. Рассматриваем квадратное уравнение Шаг 3. Проверяем a=4 Подставляем в исходное уравнение: Ответ: a=4. Ошибка № 1. Пропуск случая вырожд
Оглавление

До ЕГЭ остаётся всё меньше времени, а задание № 18 (с параметрами) по‑прежнему вызывает сложности даже у сильных учеников. В демоверсии профильного ЕГЭ эта задача демонстрирует: здесь мало знать формулы — нужно видеть все возможные случаи и чётко оформлять решение. Разберём типичную ловушку на примере и подскажем, как подготовить ребёнка к успеху.

Реальная история: как Маша чуть не провалила задание на параметры

Маша уверенно решала уравнения и неравенства, но на пробнике «споткнулась» на задании с параметром. Причина: она рассмотрела только один случай, пропустив важный момент с вырождением уравнения. После разбора ошибки и отработки алгоритма Маша научилась получать полный балл. Разберём похожий пример из демоверсии.

Разбор задачи по шагам

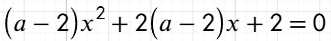
Найдите все значения параметра a, при каждом из которых уравнение имеет ровно одно решение.
-2

Шаг 1. Анализируем коэффициент при x^2

-3

Это неверное равенство — решений нет. Значит, a=2 не подходит.

Шаг 2. Рассматриваем квадратное уравнение

-4

Шаг 3. Проверяем a=4

Подставляем в исходное уравнение:

-5

Ответ: a=4.

В чём подвох: 3 типичные ошибки

Ошибка № 1. Пропуск случая вырождения

Ребята сразу считают уравнение квадратным, забывая проверить, когда коэффициент при x^2 обращается в ноль. Это приводит к потере баллов.

Ошибка № 2. Неполная проверка корней

Найдя a=2 и a=4, ученик может записать оба значения, не проверив, что при a=2 решений нет вовсе.

Ошибка № 3. Отсутствие пояснений

Экзаменатор должен видеть логику: почему отброшен a=2, как получен D=0. Без комментариев решение могут не засчитать даже при верном ответе.

Как объяснить тему ребёнку: ключевые правила

  1. Всегда начинайте с анализа коэффициентов. Если параметр стоит в коэффициенте при старшей степени, проверьте случай его обнуления.
  2. Разбирайте все возможные сценарии. Для квадратного уравнения — это D>0, D=0, D<0. Для линейного — отдельно.
  3. Пишите пояснения к каждому шагу. Фраза «При a=2 уравнение не имеет решений, так как получаем 2=0» сохранит баллы.
  4. Тренируйтесь на графиках. Покажите, как меняется парабола при разных a — это поможет увидеть задачу «наглядно».

Заключение

Задание на параметры проверяет не только знание формул, но и системное мышление. Чтобы ребёнок не терял баллы:

  • научите его рассматривать все случаи;
  • приучите к чёткому оформлению;
  • отработайте 5–10 аналогичных задач с разбором ошибок.
Напишите в комментариях, было ли у вас такое и как справились с этим. Если хотите получать больше лайфхаков для родителей — подписывайтесь на мой Telegram‑канал и группу ВКонтакте:

Telegram: https://t.me/biotechDE
ВКонтакте: https://vk.com/phys_math_teach