Добавить в корзинуПозвонить
Найти в Дзене

Как решить систему уравнений из второй части ОГЭ за 5 минут и не потерять баллы.

Сегодня покажу секрет решения системы уравнений из второй части ОГЭ, который подарит Вам +2 балла на экзамене.
Анонсы, фишки и советы в моем ТГ. Это мой МАХ. Не забудьте подписаться на Дзен, где вы сейчас.
Поехали... Система такая. Вот решение. Описание под картинкой. -Приравниваем уравнения друг к другу, так как они оба равны "у". -Получаем квадратное уравнение. Решаем через дискриминант. -Находим "иксы", а потом "игрики". Все. Вопросы в комменты. Нужны репетиторы по другим предметам - поищите здесь. Там их много и они все классные. Мои ученики - отличники все учились там. С картой Альфа банка и опцией "Образование" вы сделаете это гораздо дешевле, а при оформлении получите приятный бонус. Успехов в учебе.

Сегодня покажу секрет решения системы уравнений из второй части ОГЭ, который подарит Вам +2 балла на экзамене.

Анонсы, фишки и советы в
моем ТГ. Это мой МАХ. Не забудьте подписаться на Дзен, где вы сейчас.

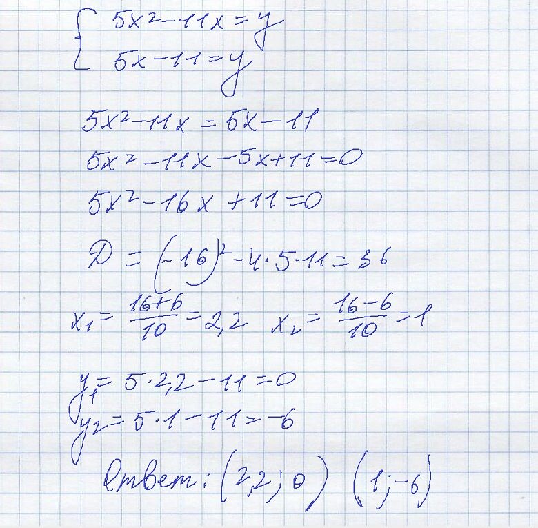
Поехали...

Система такая.

Вот решение. Описание под картинкой.

-2

-Приравниваем уравнения друг к другу, так как они оба равны "у".

-Получаем квадратное уравнение. Решаем через дискриминант.

-Находим "иксы", а потом "игрики". Все. Вопросы в комменты.

Нужны репетиторы по другим предметам - поищите здесь. Там их много и они все классные. Мои ученики - отличники все учились там.

С картой Альфа банка и опцией "Образование" вы сделаете это гораздо дешевле, а при оформлении получите приятный бонус.

Успехов в учебе.