Добавить в корзинуПозвонить
Найти в Дзене
ЕГЭ Студия

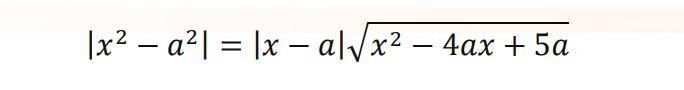
Решение за 10 минут параметра с корнями и модулем

: Смотрим решение, убеждаемся, что всё не так страшно🥹 Требовалось найти все значения 𝑎, при каждом из которых уравнение имеет ровно два различных корня. Курс параметры с нуля | Параметры углубленный уровень Дополнительная скидка 15% по промокоду ФВРТ15

Решение за 10 минут параметра с корнями и модулем:

Смотрим решение, убеждаемся, что всё не так страшно🥹

Требовалось найти все значения 𝑎, при каждом из которых уравнение имеет ровно два различных корня.

Курс параметры с нуля | Параметры углубленный уровень

Дополнительная скидка 15% по промокоду ФВРТ15