Добавить в корзинуПозвонить
Найти в Дзене
ЕГЭ Студия

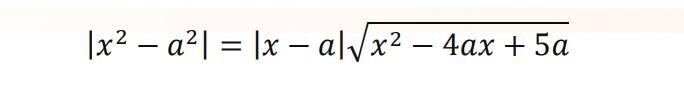
Найдите все значения 𝑎, при каждом из которых уравнение имеет ровно два различных корня

Справитесь? Спойлер: тоже решается аналитикой за 10 минут

Найдите все значения 𝑎, при каждом из которых уравнение имеет ровно два различных корня.

Справитесь?

Спойлер:

тоже решается аналитикой за 10 минут