Найти в Дзене
ВГаджеты

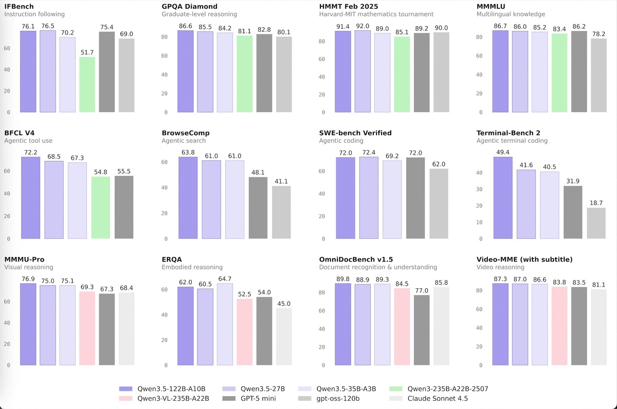
⚡ Qwen 3.5 Medium — серия средних моделей, которые бьют прошлый флагман

📝 Кратко: Alibaba выпустила серию средних моделей Qwen 3.5 с открытыми весами. Неделю назад вышел флагман на 397B параметров, а сегодня — модели поменьше: 27B, 35B и 122B. Главное здесь — модель на 35B параметров с 3B активными обходит по бенчмаркам прошлый флагман Qwen3-235B, который был в 7 раз тяжелее. Новая гибридная архитектура (Gated Delta Networks + sparse MoE) позволила сильно поднять и качество,... 🔗 Читать оригинальную статью (ссылка) 📊 Источник: Habr ⏰ Время: 24.02.2026 20:20 📱 Другие каналы: 🪙 ВКрипту | 🎮 ВИгрухи | 🏎️ ВТачки | ✈️ ВТравелу #gadgets #гаджеты #технологии

⚡ Qwen 3.5 Medium — серия средних моделей, которые бьют прошлый флагман

📝 Кратко: Alibaba выпустила серию средних моделей Qwen 3.5 с открытыми весами. Неделю назад вышел флагман на 397B параметров, а сегодня — модели поменьше: 27B, 35B и 122B. Главное здесь — модель на 35B параметров с 3B активными обходит по бенчмаркам прошлый флагман Qwen3-235B, который был в 7 раз тяжелее. Новая гибридная архитектура (Gated Delta Networks + sparse MoE) позволила сильно поднять и качество,...

🔗 Читать оригинальную статью (ссылка)

📊 Источник: Habr

⏰ Время: 24.02.2026 20:20

📱 Другие каналы:

🪙 ВКрипту | 🎮 ВИгрухи | 🏎️ ВТачки | ✈️ ВТравелу

#gadgets #гаджеты #технологии