Добавить в корзинуПозвонить
Найти в Дзене

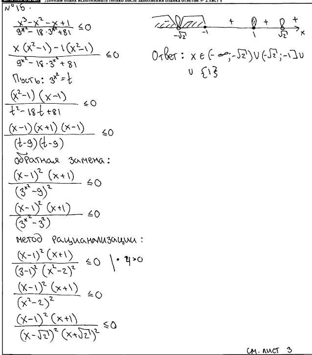
‼️ Ещё одно решение из второй части на полный балл "Джентльменского наборчика

" Причём в экономической задачи в ответе не написана размеренность, ответ просто 2, но я бы всё таки написал 2%. И в 13-м номере часто говорят, что обязательно писать разные n, k и т.д. целые числа, но как видно, можно и писать одинаковую букву для всех корней.

‼️ Ещё одно решение из второй части на полный балл "Джентльменского наборчика"

Причём в экономической задачи в ответе не написана размеренность, ответ просто 2, но я бы всё таки написал 2%.

И в 13-м номере часто говорят, что обязательно писать разные n, k и т.д. целые числа, но как видно, можно и писать одинаковую букву для всех корней.

-2
-3