Добавить в корзинуПозвонить
Найти в Дзене

90% школьников набирают +2 балла именно при решении этой системы уравнений.

Решаем простейшую систему уравнений, которая гарантированно принесет Вам +2 балла на ОГЭ. Не теряйте со мной связь и подписывайтесь на мой ТГ канал, а больше полных разборов заданий ОГЭ и школьных заданий в канале Дзен, то есть здесь. Поехали... Вот система уравнений. Решаем. Так как первое уравнение равно"У" и второе равно "У", следовательно приравняем левые части друг к другу. После этого формируем квадратное уравнение, решаем его через "Дискриминант" и находим корни. Кстати, в прошлом году все мои ученики отличники готовились к ОГЭ по русскому, обществу, географии, химии и по другим предметам у этих репетиторов. Хотите также? Тогда приступайте прямо сейчас и не теряйте время. Еще один лайфхак - за курсы можно платить меньше, с кэшбеком на образовательные курсы по карте Альфа банка, где после оформления вы получите еще и приветственный бонус. Успешной Вам подготовки!

Решаем простейшую систему уравнений, которая гарантированно принесет Вам +2 балла на ОГЭ.

Не теряйте со мной связь и подписывайтесь на мой ТГ канал, а больше полных разборов заданий ОГЭ и школьных заданий в канале Дзен, то есть здесь.

Поехали...

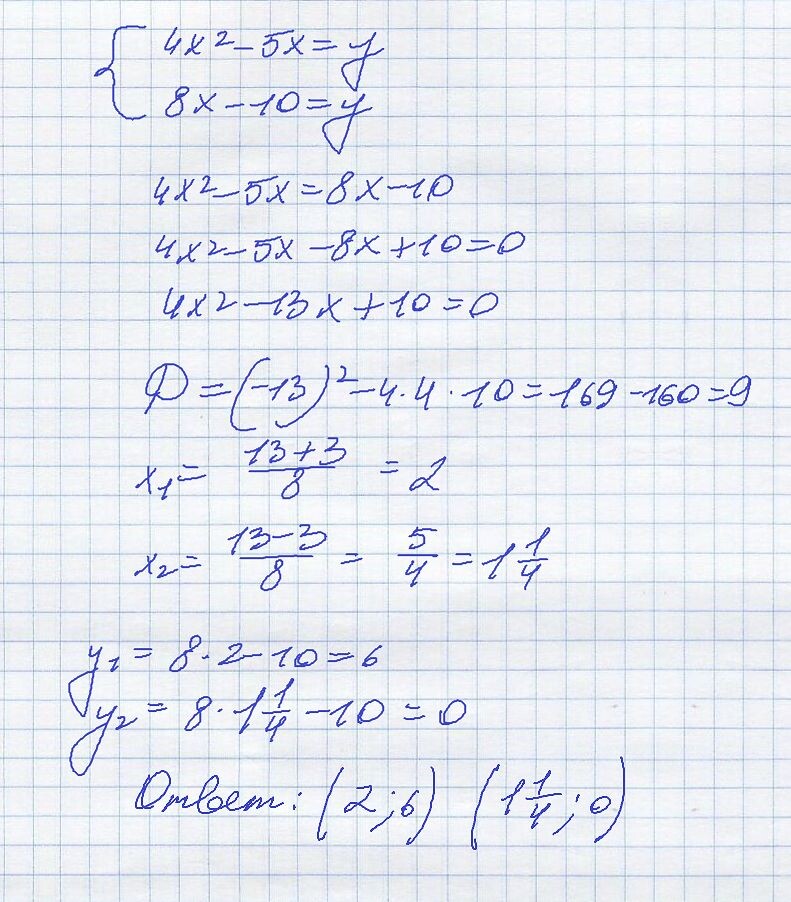
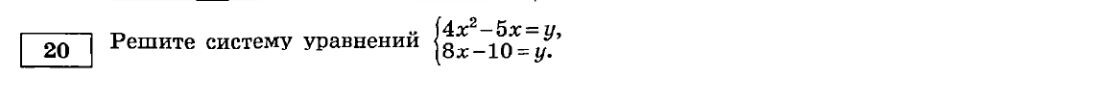
Вот система уравнений.

Решаем. Так как первое уравнение равно"У" и второе равно "У", следовательно приравняем левые части друг к другу.

-2

После этого формируем квадратное уравнение, решаем его через "Дискриминант" и находим корни.

Кстати, в прошлом году все мои ученики отличники готовились к ОГЭ по русскому, обществу, географии, химии и по другим предметам у этих репетиторов. Хотите также? Тогда приступайте прямо сейчас и не теряйте время.

Еще один лайфхак - за курсы можно платить меньше, с кэшбеком на образовательные курсы по карте Альфа банка, где после оформления вы получите еще и приветственный бонус.

Успешной Вам подготовки!