Найти в Дзене

Расчёт прогиба полки: как физика помогает в проектировании мебели

Опытные мебельщики часто определяют конструктив «на глаз». Они сразу видят, какая нагрузка на полку из ДСП станет критической и при каких условиях деталь начнёт дугу. Но для тех, кто хочет не просто предполагать, а обосновать проект точными цифрами и избежать рекламаций, существует расчёт балки на прогиб. В этой статье разберём, какие факторы реально влияют на прогиб полки из ЛДСП 16 мм — и что с этим делать на практике. Основная причина «провисания» — неверное соотношение длины пролёта и ожидаемой нагрузки при выбранном способе крепления. Формула прогиба для балки выглядит так: Материал и толщина у большинства мебельщиков одни и те же — ЛДСП 16 мм. Модуль упругости можно узнать из справочных материалов или технических паспортов производителей плит, например у ЛДСП EGGER - 1600 МПа. Значит, реальных рычагов управления прогибом у нас три: длина пролёта, способ крепления и конструктивное усиление (царга, задняя стенка). Разберём каждый. В формуле длина стоит в четвёртой степени. Это зн
Оглавление

Опытные мебельщики часто определяют конструктив «на глаз». Они сразу видят, какая нагрузка на полку из ДСП станет критической и при каких условиях деталь начнёт дугу. Но для тех, кто хочет не просто предполагать, а обосновать проект точными цифрами и избежать рекламаций, существует расчёт балки на прогиб.

В этой статье разберём, какие факторы реально влияют на прогиб полки из ЛДСП 16 мм — и что с этим делать на практике.

Почему прогибается полка в шкафу?

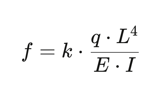
Основная причина «провисания» — неверное соотношение длины пролёта и ожидаемой нагрузки при выбранном способе крепления. Формула прогиба для балки выглядит так:

q — нагрузка, 
L — длина пролёта, 
E — модуль упругости материала, 
I — момент инерции сечения (зависит от толщины и глубины полки), 
k — коэффициент, который определяется способом крепления.
q — нагрузка, L — длина пролёта, E — модуль упругости материала, I — момент инерции сечения (зависит от толщины и глубины полки), k — коэффициент, который определяется способом крепления.

Материал и толщина у большинства мебельщиков одни и те же — ЛДСП 16 мм. Модуль упругости можно узнать из справочных материалов или технических паспортов производителей плит, например у ЛДСП EGGER - 1600 МПа.

Значит, реальных рычагов управления прогибом у нас три: длина пролёта, способ крепления и конструктивное усиление (царга, задняя стенка). Разберём каждый.

Длина пролёта — главный враг

В формуле длина стоит в четвёртой степени. Это значит:

  • увеличили полку в 1,5 раза → прогиб вырос в ~5 раз
  • увеличили в 2 раза → прогиб вырос в 16 раз

Вот почему полка 600 мм держит что угодно, а та же полка на 1200 мм уже вызывает вопросы. Разница не в два раза, а в шестнадцать.

Практическое правило: для ЛДСП 16 мм на полкодержателях без усиления безопасный пролёт — до 600–700 мм при обычной бытовой нагрузке (посуда, бельё). Книжные полки — ещё короче. Всё, что длиннее, требует либо другого крепежа, либо конструктивного усиления.

Способ крепления: полкодержатели vs конфирматы

Это главный и самый недооценённый фактор. Одна и та же полка на разном крепеже — это, с точки зрения сопромата, две разные конструкции.

Шарнирное опирание (полкодержатели)

Полка просто лежит на штифтах — её концы свободно поворачиваются под нагрузкой. Это самая «мягкая» схема. Коэффициент в формуле: k=5/384. Именно для неё прогиб максимален.

Сюда относятся все виды полкодержателей: штифты, бочонки, лопаточки. Полка на них работает на полную длину пролёта без помощи боковых стенок.

Жёсткая заделка (конфирматы, эксцентрики)

Если полка прикручена конфирматами (евровинтами), концы уже не могут свободно поворачиваться — боковина шкафа «держит» их. Коэффициент: k=1/384 - в пять раз меньше.

На практике это значит: та же самая полка, пересаженная с полкодержателей на конфирматы, провиснет в 5 раз меньше. Или наоборот — полка, рассчитанная под конфирматы, на полкодержателях провиснет в 5 раз сильнее. Об этом стоит помнить, когда клиент просит сделать полки съёмными.

Полужёсткое крепление (рафиксы, минификсы)

Эксцентриковые стяжки дают промежуточный результат. Точный коэффициент зависит от конкретной фурнитуры и качества присадки, поэтому в расчётах мы закладываем диапазон: прогиб примерно в 2,5–4 раза больше, чем при жёсткой заделке, но всё же заметно меньше, чем на полкодержателях.

Вывод: если полка длинная и нагруженная, замена полкодержателей на конфирматы может полностью решить проблему прогиба — без замены материала и без дополнительных деталей. Это самый дешёвый способ усиления.

Минус конфирматов понятен: полка становится несъёмной, а повторная сборка ослабляет соединение. Поэтому выбор крепежа — всегда компромисс между жёсткостью и удобством.

Конструктивное усиление: царга и задняя стенка

Когда менять крепёж недостаточно (полка длинная, нагрузка серьёзная), на помощь приходят два классических приёма.

Царга (ребро жёсткости)

Царга — это вертикальная планка из того же ЛДСП, которая крепится под полкой по заднему краю. Она радикально увеличивает момент инерции сечения: вместо тонкой пластины 16 мм полка начинает работать как Т-образный или П-образный профиль.

Царга высотой всего 50–60 мм может уменьшить прогиб в 3–5 раз — эффект сопоставим с заменой крепежа. А комбинация конфирматов и царги делает конструкцию практически «непробиваемой» даже на больших пролётах.

Крепление через заднюю стенку

Ещё один часто используемый приём — жёстко закрепить заднюю стенку шкафа не только к боковинам, но и к каждой полке. В этом случае задняя стенка работает как сплошная вертикальная диафрагма: она не даёт полке прогибаться, принимая на себя часть нагрузки.

Эффект зависит от толщины и материала задней стенки, а также от способа её крепления (гвозди, скобы, саморезы). Но даже ДВП 3 мм на скобах ощутимо добавляет жёсткости — особенно если полка длинная.

Главное условие: задняя стенка должна быть жёстко прикреплена именно к полке, а не просто вставлена в паз на боковинах. Иначе она работает только на удержание геометрии корпуса, но полке не помогает.

Допустимый прогиб

Какой прогиб считать нормой? Ориентиры из мебельной практики:

  • L/150 — прогиб заметен глазу, но конструкция ещё в безопасности.
  • L/200 — рабочая норма для корпусной мебели. Для полки 1000 мм это 5 мм. Этот критерий мы используем в нашем калькуляторе.
  • L/400 — для корпусов со стеклянными фасадами, чтобы деформация не заклинила двери.

Итог

Для мебельщика, работающего с ЛДСП 16 мм, реальных способов борьбы с прогибом три: сократить пролёт, сменить крепёж с полкодержателей на конфирматы и поставить царгу или закрепить заднюю стенку. Часто достаточно одного из них, иногда нужна комбинация — и чтобы понять это заранее, а не после рекламации, нужен расчёт.

Чтобы не считать вручную, мы сделали готовый скрипт-калькулятор для Базис-Мебельщика. Он подставляет реальные значения модуля упругости из техпаспортов EGGER, учитывает тип нагрузки (распределённая или сосредоточенная), схему крепления и выдаёт вердикт: допустимо, на пределе или нет. Ссылка — в описании канала.

А какие приёмы усиления используете вы — царгу, заднюю стенку или просто укорачиваете пролёт? Пишите в комментариях!

#мебель #проектированиемебели #сопромат #своимируками #дизайнмебели #базисмебельщик #расчётнагрузки #прогибполки #ДСП #ЛДСП #конфирмат #полкодержатель #мебельнаяфурнитура #рёбражёсткости #царга #корпуснаямебель #мебельсвоимируками #шкафсвоимируками #стеллаж #расчётполки #мебельноепроизводство #полканапрогиб