Добавить в корзинуПозвонить
Найти в Дзене

80 из 100 учеников в прошлом году сделали ошибки в этом примере и потеряли балл.

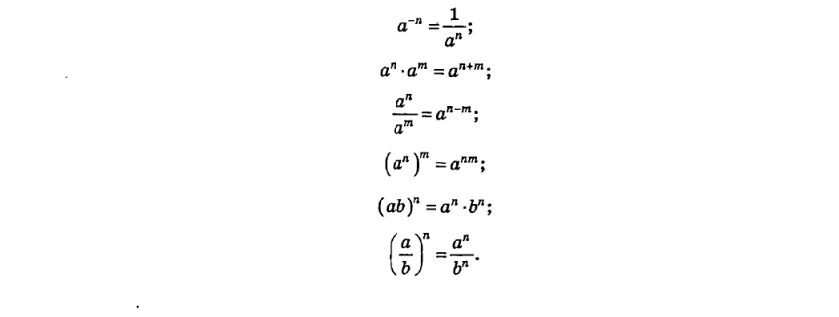
Разберем сегодня задание, которое очень просто решается на первый взгляд. Но.... Его делать нужно по формулам 7-ого класса. А они благополучно забыты. Поэтому давайте разбираться. Больше советов, анонсов и фишек в моем ТГ канале. Если хочешь заниматься со мной и смотреть мои полные разборы подписывайся на канал дзен, на нем ты сейчас, смотри, учись и задавай любые вопросы. Перейдем к заданию. Вообще это задание выполняется по формулам из списка разрешенных. Он будет у вас на экзамене. Но, лучше повторить его и потренироваться.
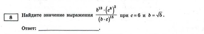
А теперь решение. Действуем согласно формул.
Если у вас остались вопросы или нужен видео разбор пишите в комментарии.
Вы готовитесь к ОГЭ или нужен репетитор по другим предметам-все свои проблемы вы решите в этой онлайн школе.
-кураторы отвечают постоянно;
-доступ к записям уроков; -только самое нужное без воды. Успехов в подготовке!

Разберем сегодня задание, которое очень просто решается на первый взгляд. Но.... Его делать нужно по формулам 7-ого класса. А они благополучно забыты.

Поэтому давайте разбираться.

Больше советов, анонсов и фишек в моем ТГ канале. Если хочешь заниматься со мной и смотреть мои полные разборы подписывайся на канал дзен, на нем ты сейчас, смотри, учись и задавай любые вопросы.

Перейдем к заданию.

Вообще это задание выполняется по формулам из списка разрешенных. Он будет у вас на экзамене. Но, лучше повторить его и потренироваться.

-2

А теперь решение.

-3

Действуем согласно формул.

Если у вас остались вопросы или нужен видео разбор пишите в комментарии.

Вы готовитесь к ОГЭ или нужен репетитор по другим предметам-все свои проблемы вы решите в
этой онлайн школе.
-кураторы отвечают постоянно;
-доступ к записям уроков; -только самое нужное без воды.

Успехов в подготовке!