Добавить в корзинуПозвонить
Найти в Дзене
Арт Текникс

MS3: Новое поколение смолы MS2A

MS2A был восстановленной кетоновой смолой и предпочитаемым лаком для многих реставраторов живописи, но производство было прекращено в 2014 году. Чтобы исправить ситуацию, недавно был разработан новый, более стабильный производственный процесс, и следующее поколение смол с воспроизведённой химией получило название MS3. Прямое сравнение MS3 и MS2A ограничено, так как свежие образцы MS2A больше не существуют, поэтому представленная работа сосредоточена в первую очередь на характеристиках и свойствах MS3 в сравнении с данными из литературы о MS2A и с более старыми эталонными образцами MS2A. Приведены показатели: показатель преломления, блеск, температура стеклования и молекулярная масса. Смолы MS3 и сравнительные низкомолекулярные лаки были искусственно состарены и исследованы с помощью FTIR и измерений цвета. Практическое использование и характеристики оценивались на двух масляных картинах. Исследование показало, что новая смола MS3 демонстрирует сопоставимость со старыми образцами MS2A,
Оглавление

MS2A был восстановленной кетоновой смолой и предпочитаемым лаком для многих реставраторов живописи, но производство было прекращено в 2014 году. Чтобы исправить ситуацию, недавно был разработан новый, более стабильный производственный процесс, и следующее поколение смол с воспроизведённой химией получило название MS3. Прямое сравнение MS3 и MS2A ограничено, так как свежие образцы MS2A больше не существуют, поэтому представленная работа сосредоточена в первую очередь на характеристиках и свойствах MS3 в сравнении с данными из литературы о MS2A и с более старыми эталонными образцами MS2A. Приведены показатели: показатель преломления, блеск, температура стеклования и молекулярная масса. Смолы MS3 и сравнительные низкомолекулярные лаки были искусственно состарены и исследованы с помощью FTIR и измерений цвета. Практическое использование и характеристики оценивались на двух масляных картинах. Исследование показало, что новая смола MS3 демонстрирует сопоставимость со старыми образцами MS2A, при этом улучшены свойства по восстановлению кетона, цвету, растеканию и стабильности между партиями.

1. Введение

1.1. Общие сведения

Полицеклогексаноновая смола MS2A была первой и до недавнего времени единственной синтетической живописной смолой, разработанной специально для реставрации картин. Она поступила в производство в 1962 году после того, как Гэрри Томсон, тогда химик-исследователь Лондонской Национальной галереи, обратился к производителю смол Howards с предложением модифицировать существующую кетоновую смолу MS2 для улучшения визуальных, эксплуатационных и стареющих свойств. Полученный продукт, созданный с помощью процесса восстановления боргидридом, оказался чрезвычайно популярным среди реставраторов, так как лак обеспечивал оптимальный блеск и насыщенность для масляных картин. Благодаря этапу восстановления в процессе производства, MS2A также была более устойчива к окислительному изменению цвета по сравнению с некорректированными кетоновыми смолами или натуральными смолами, такими как даммар и мастика.

В последующие десятилетия MS2A периодически исчезала с рынка, так как производители смол объединялись, прекращали производство или сталкивались с трудностями в поставках подходящих исходных материалов. После закрытия компании Linden Nazareth Chemicals в 2014 году производство MS2A было окончательно прекращено, несмотря на постоянный спрос со стороны реставраторов. В ответ на это в 2016 году отдел реставрации Национальной галереи Виктории и CSIRO Australia объединили усилия для изучения возможности возобновления производства MS2A. Результатом проекта стала MS3 — новое поколение преемника MS2A.

1.2. Химия

Химия кетоновых смол подробно рассмотрена де ла Ри и Шедринским (Citation1989). Позднее Роутледж (Citation2000) описал MS2A как сложную смесь продуктов метилолирования и конденсации, образующихся из метилциклогексанона, метанола и их производных. Он предположил, что смола состоит из ряда димеров и тримеров, некоторые из которых подвергнуты кетонному восстановлению, а другие нет.

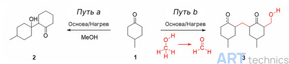
Рисунок 1. Предлагаемый синтетический путь в химии кетоновых смол: MS3
Рисунок 1. Предлагаемый синтетический путь в химии кетоновых смол: MS3

В целом предложены два механизма синтеза, изображённые на Рисунке 1. В Пути a метилциклогексанон конденсируется сам с собой в щелочной среде, образуя димер. Последующие повторные конденсации с димером приводят к формированию более длинных олигомерных цепей. В Пути b предполагается, что метанол восстанавливается до формальдегида, который затем участвует в полимеризации, образуя структуры 3.

В наших экспериментах промежуточная кетоновая смола оказалась нестабильной, что затрудняло полное структурное определение. Поэтому кетоновая смола была сразу восстановлена, чтобы получить полностью восстановленную кетоновую смолу MS3.

1.3. Оценка

Для реставраторов важно понимать состав материала и физические свойства веществ, используемых в реставрационных работах. В данной работе описаны основные свойства смолы MS3, а также приведено сравнение с характеристиками MS2A, зарегистрированными в литературе, и с эталонными образцами MS2A, изготовленными компанией Linden Chemicals по оригинальному методу.

Основополагающие исследования проводили Мэйнс и де ла Ри (Citation2005), изучая старение низкомолекулярных смол, используемых как лаки для картин, с акцентом на два ключевых параметра: распределение молекулярной массы и температуру стеклования. Измеренные свойства включают показатель преломления (RI), блеск, температуру стеклования (DSC) и молекулярную массу (GPC). Структура смолы (FTIR), изменение цвета, растворимость/обратимость и практическая применимость/обработка/работоспособность оценивались до и после ускоренного старения.

Резюме оценки:

Физические свойства:

  • Показатель преломления (RI)
  • Блеск
  • Температура стеклования (DSC)
  • Молекулярная масса (GPC)

Химические свойства:

  • Структура (FTIR) до и после ускоренного старения
  • Цвет до и после ускоренного старения
  • Растворимость и обратимость до и после ускоренного старения
  • Практическое использование, визуальные наблюдения и рабочие характеристики

2. Экспериментальная часть

2.1. Образцы смол

Три различных эталонных образца смолы MS2A, каждый из разных временных периодов, были предоставлены отделом реставрации Национальной галереи Виктории:

  • MS2A-NGV-01: Linden Nazareth MS2A, декабрь 2001 года (по данным и поставкам отдела реставрации NGV)
  • MS2A-NGV-06: Linden Nazareth MS2A, ноябрь 2006 года (по данным и поставкам отдела реставрации NGV)
  • MS2A-NGV-11: Linden Nazareth MS2A, январь 2011 года (по данным и поставкам отдела реставрации NGV)

Три различных эталонных образца смолы MS3 были предоставлены CSIRO и Boron Molecular:

  • MS3-CSIRO-16: Образцы MS3 смолы, полученные от CSIRO (2016), в конце периода лабораторной разработки.
  • MS3-BM-18: Образцы MS3 смолы, полученные от Boron Molecular (2018), производитель химикатов, Мельбурн, Австралия, произведены с использованием стандартизированного запатентованного метода.
  • MS3-BM-19: Образцы MS3 смолы, полученные от Boron Molecular (2019), производитель химикатов, Мельбурн, Австралия, произведены с использованием стандартизированного запатентованного метода.

Образцы смол оценивались либо в виде цельной массы, либо после растворения и высушивания. Для подготовки растворённых смол к оценке старения и удобства работы, образцы измельчались до порошкообразного состояния и готовились 25%-ные w/v растворы в без запаха минеральных спиртах с добавлением 5 мл ацетона, с использованием магнитной мешалки.

2.2. Ускоренное старение

MS3 сравнивали с группой низкомолекулярных (LMW) синтетических и натуральных смол до и после искусственного старения. (Примечание: B-72 и A-81 не относятся к LMW.)

  • MS3 (MS3-BM-19)
  • MS2A (MS2A-NGV-11)
  • Laropal K-80 (BASF, дата не указана)
  • Dammar (Dipterocarpaceae, Индонезия, поставлено Langridge Artist Materials, Австралия)
  • Paraloid B-72 (Rohm and Haas, дата не указана)
  • Laropal A-81 (BASF, поставлено Talas, ок. 2015)
  • Regalrez 1094 (Eastman, поставлено Talas, ок. 2015)

Каждая из перечисленных смол была нанесена тонкой полоской на два подложечных материала размером с игровую карту: грунтованный художественный картон и стекло. Образцы искусственно старились согласно ASTM G154-2006 Standard Practice for Operating Fluorescent Light Apparatus for UV Exposure of Non-metallic Materials, условия цикла: 8 часов УФ при 45°C, тип лампы UVA 340, освещённость 0.89 Вт/м²/нм, температура черной панели 45°C, с экспозициями 0, 168, 336, 672 и 1344 часа.

Подробные методики инструментальных анализов приведены в приложении.

3. Результаты и обсуждение

Сообщается, что низкомолекулярные (LMW) лаки имеют относительно высокую температуру стеклования, относительно высокий показатель преломления и кажутся более блестящими по сравнению с полимерами длинных цепей (de la Rie et al., Citation2010; Whitten et al., Citation1997).

3.1. Температура стеклования

Maines и de la Rie (Citation2005) сообщили, что температура стеклования (Tg) MS2A составляет 49°C, в то время как другой образец, по данным de la Rie и Shedrinsky (Citation1989), имел Tg равную 57°C. Различия, возможно, объясняются вариабельностью состава разных партий MS2A или различиями в методах анализа между лабораториями. Температура стеклования MS3 составила 52°C, что находится между двумя указанными значениями для образцов MS2A, как показано в Таблице 1.

Таблица 1. Температура стеклования MS2A и MS3
Таблица 1. Температура стеклования MS2A и MS3

Детальное исследование кинетики термического разложения кетоновых смол, приготовленных из циклогексанона и циклопентанона, было опубликовано Uttaravalli и Dinda (Citation2017) и показало, что кажущаяся энергия активации изученных смол увеличивается с увеличением средней молекулярной массы смолы. Это наблюдение может быть полезно для дальнейшего изучения, так как температура стеклования может служить индикатором молекулярной деградации.

3.2. Блеск

Измерения блеска показывают количество света, отражаемого поверхностью относительно эталонного стандарта, измеряемое в единицах блеска (GU). Количество отражённого света зависит от угла падения и свойств поверхности.

Как показано в Таблице 2, MS3 демонстрирует высокие значения блеска, что ожидаемо для низкомолекулярной смолы.

Таблица 2. Измерения блеска MS3
Таблица 2. Измерения блеска MS3

Внешний вид MS2A описывается как сатиновый или шелковистый, менее блестящий по сравнению с даммаром или Laropal A81 и значительно менее блестящий по сравнению с Regalrez (Stoner и Rushfield, Citation2012). Следует отметить, что смолы с низкой молекулярной массой дают более высокий зеркальный отражающий блеск по сравнению с высокомолекулярными смолами. Низкомолекулярные смолы с весовыми средними молекулярными массами в диапазоне 800–6500, включая натуральные смолы, формируют более гладкие поверхности, заполняя и выравнивая подложку, что устраняет как высокочастотную, так и низкочастотную шероховатость (de la Rie и Shedrinsky, Citation1989).

3.3. Показатель преломления

Хотя показатель преломления (RI) часто приводят как физический параметр смол, показано, что он оказывает мало влияния на внешний вид лакированной картины. Способность лака выравнивать или повторять неровности поверхности зависит от молекулярной массы, и именно она является более важным параметром, определяющим внешний вид масляной живописи (Berns и de la Rie, Citation2003).

Исторически для MS2A сообщалось значение RI равное 1,505 (CAMEO, Citation2016). Показатель преломления был измерен на растворённом и высушенном образце, и, как показано на Рисунке 2, оказалось очень близким к nD20 = 1,50452.

3.4. Молекулярная масса

Молекулярная масса полимера измеряется методом гель-проникающей хроматографии (GPC), иногда также называемой хроматографией по размеру (SEC). Молекулярные массы MS2A и MS3 представлены в Таблице 3.

Молекулярная масса полимеров и олигомеров определяется распределением, так как полимеризация приводит к образованию цепей разной длины. Весовая средняя молекулярная масса (Mw) рассчитывается на основе весового распределения молекул различного размера, а число- средняя молекулярная масса (Mn) — по молярному распределению молекул. Более крупные молекулы весят больше, поэтому Mw всегда выше Mn. Соотношение Mw/Mn определяет полидисперсность полимера.

Таблица 3. Сравнительные данные GPC для MS2A и MS3
Таблица 3. Сравнительные данные GPC для MS2A и MS3

MS3-BM-19 (Запись 1) имеет аналогичное Mn с смолами MS2A (Записи 2–4), но более низкое Mw, что отражает более узкий диапазон олигомерных видов и, следовательно, меньшую полидисперсность. MS3-BM-19 представляет собой среднее значение трёх образцов (n = 3), взятых в разные моменты производственного процесса, что свидетельствует о стабильности и воспроизводимости нового метода производства.

3.5. FTIR Сравнение MS3 с MS2A

MS3 сравнивали с двумя эталонными образцами MS2A, полученными из склада реставрационных материалов NGV, приобретёнными у Linden Chemicals в 2001 и 2011 годах. Наложение FTIR-спектров показано на Рисунке 3. Все три образца были отдельно идентифицированы как неизвестные в базе данных IRUG (Price, Pretzel, Lomax, Citation2009). Наивысшее совпадение было с образцами ISR00005 и ISR00006, обе — восстановленные полициклогексаноновые смолы, что подтверждает состав и химию образцов.

Таблица 3. Сравнительные данные GPC для MS2A и MS3

MS3-BM-19 (Запись 1) имеет аналогичное Mn с смолами MS2A (Записи 2–4), но более низкое Mw, что отражает более узкий диапазон олигомерных видов и, следовательно, меньшую полидисперсность. MS3-BM-19 представляет собой среднее значение трёх образцов (n = 3), взятых в разные моменты производственного процесса, что свидетельствует о стабильности и воспроизводимости нового метода производства.

Рисунок 3. Сравнение FTIR-спектров MS3 и MS2A
Рисунок 3. Сравнение FTIR-спектров MS3 и MS2A

Визуальное сравнение двух образцов MS2A показало, что образец 2001 года был светло-жёлтым, а более поздний образец 2011 года — тёмно-жёлтым. Образец MS3 был почти бесцветным. Так как различие в цвете не соответствует возрасту образцов, считается, что оно обусловлено вариабельностью условий производства, а не старением.

Интенсивность карбонильной полосы при 1708 см⁻¹ в образцах MS2A 2001 и 2011 года соответствует их более жёлтому цвету, при этом визуально более тёмная смола демонстрирует более выраженный карбонильный пик. В спектре MS3 эта полоса почти отсутствует, что указывает на эффективное восстановление карбонильной группы. MS3 демонстрирует более интенсивную OH-полосу при ∼3500 см⁻¹ по сравнению с обоими образцами MS2A, что согласуется с более полной химической редукцией карбонильных групп до гидроксильных.

Рисунок 4. Сравнение FTIR-спектров MS3 и низкомолекулярных смол
Рисунок 4. Сравнение FTIR-спектров MS3 и низкомолекулярных смол

Полоса при 1372 см⁻¹, обусловленная симметричными колебаниями –CH3, присутствует как в MS2A, так и в MS3, но отсутствует в спектрах Ketone N и Laropal K80 (Mills и White, Citation1994). Симметричные колебания –CH2 при 1453 см⁻¹, относящиеся к алканам, присутствуют во всех спектрах. Полосы CH при 2915 см⁻¹ идентичны для MS2A и MS3, с плечом при 2948 см⁻¹ из-за растяжения –CH3. Ketone N и Laropal K80 не имеют плеча, что связано с отсутствием метилированного циклогексанона в качестве мономера.

3.6. Состаривание MS3 и MS2A

Нормализованные FTIR-спектры образцов MS3, состаренных 168, 336 и 672 ч (Рисунок 5), показывают увеличивающуюся интенсивность карбонильной полосы при 1708 см⁻¹, тогда как исходный образец (контроль) почти не имеет этой полосы, что указывает на окисление смолы при старении. Для образцов, состаренных 1344 ч, интенсивность карбонильного растяжения снизилась и сместилась до 1729 см⁻¹, что может указывать на дальнейшее разложение.

Рисунок 5. FTIR-спектры состаренных MS3 (вверху) и MS2A (внизу)
Рисунок 5. FTIR-спектры состаренных MS3 (вверху) и MS2A (внизу)

FTIR-спектры MS2A за те же периоды показывают ту же тенденцию, но исходный образец MS2A уже имеет небольшую карбонильную полосу, что связано либо с остаточной карбонильной функциональностью от первоначального производства, либо с начальным окислением из-за возраста смолы. В нормализованном спектре MS2A при 1344 ч карбонильная полоса также смещена к более высокой длине волны.

3.7. Цвет

Цвет измерялся в пространстве CIE 1976 Lab* (CIELAB). L* — светлота, a* и b* — координаты цветности: +a* — красная ось, -a* — зелёная, +b* — жёлтая, -b* — синяя.

Предыдущие исследования (Doménech-Carbó et al., Citation2008) показали, что фотостарение вносит больше деградации, чем термическое воздействие или воздействие газов (SO2), поэтому ускоренное старение проводили с фотостарением при слегка повышенной температуре. Для каждого образца измеряли все координаты цвета, но здесь приведена только b* для иллюстрации степени пожелтения.

Развитие пожелтения (b*) при искусственном старении для MS3 и других низкомолекулярных смол показано на Рисунке 6. Все значения b* положительные, что означает наличие жёлтого оттенка. Dammar пожелтел быстрее всего, затем Laropal K80, достигнув максимального изменения после 672 ч. Эти два лака после пика стали менее жёлтыми, что связано с фотоокислительной деградацией и последующим осветлением. MS2A и MS3 изменялись более постепенно и достигли уровня цвета, сопоставимого с Dammar и Laropal K80 к концу периода экспозиции.

Рисунок 6. Появление желтизны (b) при искусственном старении у MS3 и других низкомолекулярных смол
Рисунок 6. Появление желтизны (b) при искусственном старении у MS3 и других низкомолекулярных смол

Regalrez, Paraloid B-72 и Laropal A-81 пожелтели лишь незначительно за весь восьминедельный период. Изменения этих смол были практически незаметны невооружённым глазом, в то время как остальные стали заметно жёлтыми. MS3 и MS2A не различались по цвету, но пожелтение происходило медленнее, чем у Dammar и Laropal K80.

На практике лаки MS2A изучались почти через 40 лет после первого нанесения и, при отсутствии Tinuvin 292, оставались визуально неизменными по блеску и прозрачности, без признаков обесцвечивания при удалении лака (Routledge, Citation2000).

3.8. Растворимость и обратимость

Практическая оценка растворимости полимеров после старения имеет критическое значение (Smith и Johnson, Citation2008). Испытания показали, что MS3 и MS2A обладают очень похожими характеристиками растворимости при искусственном старении. Состав растворителя, необходимый для растворения старых плёнок смолы, приведён в Таблице 4. Обе смолы имели одинаковую исходную растворимость, но с увеличением воздействия света MS2A требовался слегка более полярный растворитель (ацетон). После 1344 ч обе смолы требовали 65% ацетона для растворимости.

Laropal K-80 переходила в растворимость только в 100% ацетоне, демонстрируя меньшую стойкость к фотодеградации, чем Dammar. Это также подчёркивает эффективность процесса восстановления карбонильных групп в улучшении свойств старения полициклогексаноновой смолы.

Таблица 4. Составы растворителей, необходимые для обратимости смол
Таблица 4. Составы растворителей, необходимые для обратимости смол

Как и ожидалось, Regalrez 1094, Paraloid B-72 и Laropal A-81 показали большую устойчивость к фотоокислительной деградации, оставаясь растворимыми в менее полярных растворителях после 1344 ч. Это демонстрирует, что кетоновые смолы, независимо от степени восстановления, более подвержены деградации по сравнению со смолами на основе гидрогенизированных углеводородов, метакрилатов или альдегидных олигомеров. Однако показано, что светостабилизаторы на основе галогенированных аминов (HALS) могут улучшить световую стабильность смол, компенсируя это относительное ограничение. Испытания MS3 с добавлением HALS — тема для будущих исследований.

4. Практическое использование, визуальные наблюдения и эксплуатационные характеристики

MS3 (MS3-CSIRO-16) был протестирован на физические свойства и удобство работы в сравнении с двумя архивными образцами MS2A (MS2A-NGV-01 и MS2A-NGV-06). Тесты оценивали смолы по их внешнему виду в кристаллической форме, растворимости в растворе, вязкости, удобству работы и внешнему виду поверхности. Дополнительно представлен образец X (Рисунок 7) — MS2A от Linden Nazareth с января 2011 года — для визуального сравнения, но для теста он не использовался из-за недостаточного количества.

Рисунок 7. Фото трёх твёрдых форм MS2A и MS3
Рисунок 7. Фото трёх твёрдых форм MS2A и MS3

Наблюдения в твёрдой форме: Смолы Linden были заметно жёлтые, с крупными кристаллами (20 мм+) и трещинами. Каждая из трёх партий MS2A отличалась цветом от остальных, при этом партия 2006 года была наиболее изменённого цвета. Светлый оттенок партии 2001 года указывает, что изменение цвета связано с вариабельностью производства, а не со старением. Смола CSIRO была в основном измельчена в порошок, хотя крупные кристаллы были размером до 10 мм.

Растворимость: Каждая смола измельчалась в порошок и растворялась в 25% растворе в беззапаховом минерал-спирите с добавлением 5 мл ацетона, с использованием магнитной мешалки. Все три смолы полностью растворились в течение 30 минут. Как показано на Рисунке 8, та же разница в цвете сохранялась и в растворе: обе смолы MS2A заметно желтее MS3.

Рисунок 8. Фото тестовых смол MS2A в растворе, справа — MS3
Рисунок 8. Фото тестовых смол MS2A в растворе, справа — MS3

Для теста были выбраны две картины XIX века из коллекции NGV: Dreadnought Фредерика Шелдона (масло на холсте, 1890) и Naworth Castle, Cumberland британского художника в манере Джона Констебла (масло на дубовой панели, до 1900). Обе картины были очищены, старые и сильно пожелтевшие лаки удалены смесью ацетона в минерал-спирите. Каждая картина была разделена на три равные вертикальные полосы тонкими белыми нитями для тестирования и визуального сравнения всех трёх лаков (Рисунок 9).

Рисунок 9. Картины перед нанесением трёх лаков
Рисунок 9. Картины перед нанесением трёх лаков

4.1. Нанесение

Перед каждым нанесением кисть ополаскивали в растворе ацетона в минерал-спирите, сушили и насыщали раствором лака. Лак наносился на соответствующую вертикальную полосу. Кисть снова промывалась и сушилась перед нанесением следующего лака. Отличий в процессе нанесения замечено не было — все лаки имели схожую вязкость и характеристики распределения по поверхности.

4.2. Сушка

MS3 казался слегка быстрее высыхающим по сравнению с обоими образцами MS2A. После высыхания на холсте визуальных различий между тремя лаками не наблюдалось, хотя на панели MS3 выглядел немного менее блестящим, а лак 2006 года от Linden — наиболее блестящим. Консерваторы NGV, осматривавшие картины вслепую, не смогли различить три лака. Второй слой был нанесён через 24 часа, и снова различий не наблюдалось.

4.3. Хрупкость

Одной из характерных особенностей MS2A и даммара является их хрупкость, которая используется для изменения эффекта поверхности картины путём аккуратного втирания порошка из измельчённой сухой смолы. Такая техника невозможна с длинноцепочечными полимерами, такими как Paraloid B-72 или Laropal A-81.

Все три лакированные участки были протёрты соответствующими твёрдыми смолами. Различий в хрупкости и состоянии поверхности после трения не наблюдалось.

4.4. Распыление

В заключительной части теста смолы распыляли пневматическим распылителем Binks Bullows L920, предварительно очищенным ацетоном/метилированным спиртом перед каждой смолой. Среди трёх, лак 2001 года от Linden оставлял слегка более блестящую поверхность по сравнению с MS3 и MS2A 2006 года, которым требовалось дополнительное распыление для достижения того же блеска. Вероятно, это связано с другими переменными факторами. В итоге визуальных различий между MS3 и двумя MS2A практически не наблюдалось.

4.5. Ретуширование

Главное преимущество MS2A, отличающее его от почти всех других лаков, — возможность использования в качестве ретуширующего средства без применения сильно пахнущих растворителей. Большинство других ретуширующих средств требуют ароматических растворителей (ксилол) или полиэтиленгликоль-моноэфир, выделяющий неприятные пары. Этанол имеет слишком высокую скорость испарения для ретуши. MS2A же можно многократно растворять в беззапаховом минерал-спирите с небольшим количеством ацетона.

Тесты по ретуши проводились в NGV в течение нескольких месяцев с использованием как MS3, так и MS2A от Linden, и разницы в удобстве работы выявлено не было.

5. Заключение

В исследовании представлены физические свойства, производительность и особенности работы с недавно разработанной смолой MS3, с акцентом на сравнение с MS2A, производство которой прекратилось. Были изучены показатели преломления, глянца, температуры стеклования и молекулярной массы, сопоставленные с образцами MS2A и данными из литературы. Анализ химического состава, цвета, растворимости и обратимости как старых, так и новых смол показал, что MS3 крайне схожа по химии с MS2A.

По характеристикам работы и практического применения MS3 показала себя аналогично MS2A: по растворимости, внешнему виду поверхности, вязкости, хрупкости и возможности распыления.

Перевод выполнен на основе оригинальной статьи: Lau, D.L.J., Alexander, C., & McNeill, D. (2022). The Next Generation of MS2A Resin: MS3. Journal of the American Institute for Conservation, 62(3), 188–198.