Добавить в корзинуПозвонить
Найти в Дзене

4 фатальные ошибки, при решении квадратных уравнений, с которыми ты не наберешь баллы на ОГЭ.

Разберемся с квадратными уравнениями. Вроде бы не сложный алгоритм, но ошибок делается куча. С решением квадратного уравнения связано еще и решение квадратного неравенства, поэтому уметь решать такое уравнение очень важно.
В моем ТГ канале новости, анонсы и шпаргалки. Хочешь готовиться со мной-подписывайся на канал дзен, ты сейчас на нем. Здесь много полезных статей с разборами заданий. Мой канал МАХ.
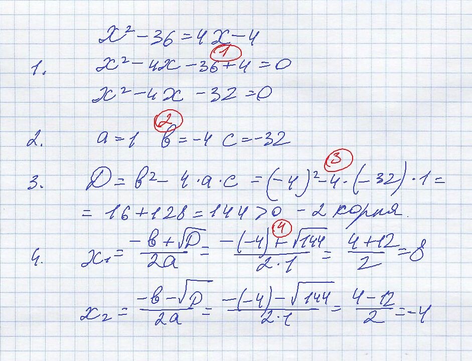
Разберем вот такое уравнение.
Это решение квадратного уравнения.
Разберем места, где допускаются больше всего ошибок школьниками.
1. Не изменены знаки при переносе из правой части в левую.
2. Не правильно выписаны коэффициенты.
3. Ошибки в расчете дискриминанта. Путаница в знаках.
4. При расчете корней ошибки в счете.
Успешной вам подготовки. Необходим видеоразбор-пишите в комментариях "разбор". Многие мои ученики параллельно готовились к ОГЭ по другим предметам — и все выбирали одну и ту же онлайн‑школу.
Почему?

Разберемся с квадратными уравнениями. Вроде бы не сложный алгоритм, но ошибок делается куча.

С решением квадратного уравнения связано еще и решение квадратного неравенства, поэтому уметь решать такое уравнение очень важно.


В моем
ТГ канале новости, анонсы и шпаргалки. Хочешь готовиться со мной-подписывайся на канал дзен, ты сейчас на нем. Здесь много полезных статей с разборами заданий. Мой канал МАХ.



Разберем вот такое уравнение.

-2

Это решение квадратного уравнения.
Разберем места, где допускаются больше всего ошибок школьниками.

1. Не изменены знаки при переносе из правой части в левую.
2. Не правильно выписаны коэффициенты.
3. Ошибки в расчете дискриминанта. Путаница в знаках.
4. При расчете корней ошибки в счете.

Успешной вам подготовки. Необходим видеоразбор-пишите в комментариях "разбор".

Многие мои ученики параллельно готовились к ОГЭ по другим предметам — и все выбирали одну и ту же онлайн‑школу.
Почему?

  • понятная платформа;
  • грамотные преподаватели;
  • много практики.
    Если ищете надёжное место для подготовки —
    рекомендую присмотреться.