Добавить в корзину
Позвонить
Найти в Дзене
Войти
Готовимся к ОГЭ и ЕГЭ по математике
178 подписчиков
Подписаться
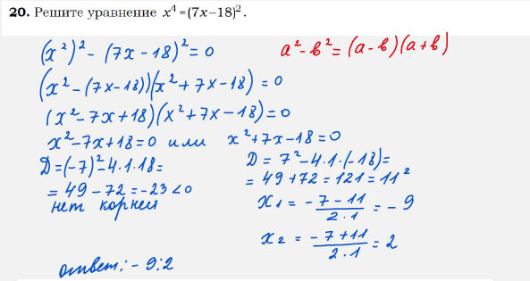
Задание ОГЭ №20 (2балла)
24 января
24 янв
...
Читать далее
1
3520491134.939.1777213683843.22744