Добавить в корзинуПозвонить
Найти в Дзене
Пикабу

Ответ на пост «Сложный процент по простому на кроликах»

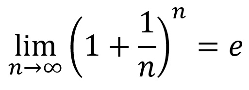
Если вклад на год и ставка 100%, то и папу и дочь могло бы заинтересовать, а не выгоднее ли, например, поделить его на две части по полгода и получить 50% каждый раз? Действительно, ведь тогда получится 1000 * 1.5 * 1.5 = 2250, а это лучше чем 2000. "Минуточку", должна бы воскликнуть дочь. А что, если поделить на 4 части и каждый квартал получать по 25%? Ведь тогда будет целых 2441 руб! Умный папа, учившийся в этих ваших институтах, немедленно вспомнил бы, что в году примерно 365 дней и предложил бы брать процент каждый день, переоткрывая счёт. Ведь на самом деле, так можно получить целых 2714 руб 56 коп., а это вам не какие-то вшивые 2000. И вот когда после некоторого кол-ва умножений станет понятно, что максимальная сумма, которую можно получить, никогда не превысит 2718.28 руб, увеличив исходный вклад в 2.71828 раз, дочь должна была бы вспомнить, что где-то уже видела это число, а папа резюмировать, что математика чертовски полезна в дополнение к финансовой грамотности, а вот эти вс

Если вклад на год и ставка 100%, то и папу и дочь могло бы заинтересовать, а не выгоднее ли, например, поделить его на две части по полгода и получить 50% каждый раз? Действительно, ведь тогда получится 1000 * 1.5 * 1.5 = 2250, а это лучше чем 2000.

"Минуточку", должна бы воскликнуть дочь. А что, если поделить на 4 части и каждый квартал получать по 25%? Ведь тогда будет целых 2441 руб!

Умный папа, учившийся в этих ваших институтах, немедленно вспомнил бы, что в году примерно 365 дней и предложил бы брать процент каждый день, переоткрывая счёт. Ведь на самом деле, так можно получить целых 2714 руб 56 коп., а это вам не какие-то вшивые 2000.

И вот когда после некоторого кол-ва умножений станет понятно, что максимальная сумма, которую можно получить, никогда не превысит 2718.28 руб, увеличив исходный вклад в 2.71828 раз, дочь должна была бы вспомнить, что где-то уже видела это число, а папа резюмировать, что математика чертовски полезна в дополнение к финансовой грамотности, а вот эти все странные числа - не просто блажь математички, а вполне реально работают на конкретной тысяче рублей.

Пост автора Emengy.

Читать комментарии на Пикабу.