Найти в Дзене
Андрей Куликов

Вычисление определённых интегралов методом трапеций на Borland Turbo Basic'е

......................................................"Даром дадено, даром давайте", - Исус Христос. Версия 2026.02.01, исправленная и дополненная. В справочнике Дьяконова [1] приведено небольшое описание вычислений определённых интегралов методом трапеций, но не приведена программа. Автор этой статьи постарался восполнить этот недостаток и написал программу вычисления определённых интегралов методом трапеций на Borland Turbo Basic'е. Метод трапеций основан на разбиении всего отрезка интегрирования на множество частичных отрезков, кусочно-линейной аппроксимации подинтегальной функции на отрезках разбиения, вычислении площади каждой из получившихся трапеций и суммировании всех частичных площадей. Метод трапеций точнее метода левых прямоугольников и метода правых прямоугольников, которые существуют, но оба "кривые" и почти нигде не используются, но менее точен, чем метод средних прямоугольников, так как при кусочно-линейной аппроксимации подинтегральной функции выпуклость или вогнутость

......................................................"Даром дадено, даром давайте", - Исус Христос.

Версия 2026.02.01, исправленная и дополненная.

В справочнике Дьяконова [1] приведено небольшое описание вычислений определённых интегралов методом трапеций, но не приведена программа. Автор этой статьи постарался восполнить этот недостаток и написал программу вычисления определённых интегралов методом трапеций на Borland Turbo Basic'е.

Метод трапеций основан на разбиении всего отрезка интегрирования на множество частичных отрезков, кусочно-линейной аппроксимации подинтегальной функции на отрезках разбиения, вычислении площади каждой из получившихся трапеций и суммировании всех частичных площадей.

Метод трапеций точнее метода левых прямоугольников и метода правых прямоугольников, которые существуют, но оба "кривые" и почти нигде не используются, но менее точен, чем метод средних прямоугольников, так как при кусочно-линейной аппроксимации подинтегральной функции выпуклость или вогнутость не учитывается вовсе, а в методе средних прямоугольников немного учитывается.

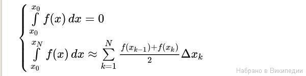
Интеграл вычисляется по формулам из системы двух уравнений:

Первое уравнение следует из определения интеграла Римана, к которому относится и интеграл методом трапеций.

Во втором уравнении вычисляется сумма площадей всех трапеций. Высота каждой трапеции равна среднему арифметическому между предыдущим и текущим значениями интегрируемой функции на отрезке разбиения. Ширина каждой трапеции равна ширине каждого частичного отрезка - Dx_k. Площадь каждой трапеции равна произведению высоты трапеции на ширину трапеции. Чем больше количество отрезков разбиения - N, тем точнее приблизительное значение интеграла. Точное значение интеграла равно пределу суммы (ряда) площадей всех трапеций при количестве отрезков разбиения - N стремящимся к бесконечности.

Подинтегральная функция f(x) может быть задана как в аналитическом виде, так и в виде таблицы значений x_k и f(x_k). Величины отрезков разбиения Dx_k = x_k - x_{k-1} могут быть не одинаковыми. При одинаковых величинах отрезков разбиения формула метода трапеций упрощается до формулы Ньютона-Котеса.

В графическом варианте программы на график выводятся и значения в узлах подинтегральной функции (зелёные) и значения в узлах интеграла (чёрные), что позволяет изучающим интегралы самим, а не из таблицы интегралов, убедиться, что, например, интеграл от cos(x) равен sin(x), а интеграл от sin(x) равен -cos(x) и др.

Программа TRAP4G.BAS на Borland Turbo Basic'е:

Программа TRAP4G.BAS позволяет вводить для интегрирования только функции не имеющие аналитического выражения, например, данные наблюдений и экспериментов.

В программе TRAP4G.BAS количество пар значений и сами значения x и y(x) подинтегральной функции y(x)=cos(x) от -Pi до Pi вводятся прямо в текст прогаммы в операторах DATA. На экран выводятся как значение интеграла S[N] на всём отрезке [X[0],X[N]], так и значения первообразной S[I] в каждой точке X[I], по которым можно убедиться, что интеграл от cos(x) действительно равен sin(x). Теоретически интеграл должен быть равен 0, практически же вычисленный методом трапеций интеграл при разбиении на 16 частичных отрезков равен 0.0054 при размахе равном 2, т.е. ошибка приблизительно равна 100%*0.0054/2=0.37%, что в измерительной технике соответствует измерителю площадей класса 0.5 (0.5%), который вполне достаточен для многих применений. Значения первообразной записываются в выходной массив S[I], который пользователи могут вывести на экран сняв оператор комментария (') или использовать в дальнейших вычислениях.

-2

Рис.1. Снимок с экрана результата прогона программы TRAP4G.BAS в компиляторе Borland Turbo Basic с DOSBox 0.74-3.

-3
-4

Литература:

1. Д ь я к о н о в В. П. Справочник по алгоритмам и программам на языке бейсик для персональных ЭВМ: Справочник. — М.: Наука. Гл. ред. физ.-мат. лит., 1989. — 240 с. — ISBN 5-02-014530-0. Файл: Dyakonov_Spravochnik.djvu

2. Метод трапеций. Википедия.

3. Trapezoidal rule. Wikipedia.

Приложения:

1. Программа: TRAP4G.BAS

2. Borland Turbo Basic: TB.rar

3. Руководство по Borland Turbo Basic'у: TBASIC.TXT