Найти в Дзене

Сколько стоит капитальный ремонт студии в 2026г? Полная смета работ.

Многие думают, что ремонт в студии — это быстро и недорого: поклеить обои, положить ламинат и готово. Но когда речь заходит о настоящем капитальном ремонте «под ключ» с полной заменой всего, включая электрику и сантехнику, клиенты сталкиваются с солидными цифрами и не понимают, откуда они берутся. Я не буду вас задерживать в неведении. В этой статье мы шаг за шагом разберем реальную смету на работы по студии 29 м², которую мы сейчас завершаем в Краснодаре. Я покажу полный расклад по каждой комнате, а в конце мы подведем общий итог. Материалы (плитка, обои, краска, сантехника) в эту сумму не входят — их закупает заказчик отдельно. 1. КУХНЯ СТОЛОВАЯ "КОМНАТА" Что важно здесь увидеть: Больше 63 000 рублей ушло только на выравнивание стен и полов. Это не прихоть, а необходимость. На кривых стенах не будет ровно стоять мебель, а обои лягут волнами. Это самая важная инвестиция в качество. Блок 4. Коридор и Балкон: Полный результат можно будет посмотреть в нашем сообществе в «ВК».https://vk.c

Многие думают, что ремонт в студии — это быстро и недорого: поклеить обои, положить ламинат и готово. Но когда речь заходит о настоящем капитальном ремонте «под ключ» с полной заменой всего, включая электрику и сантехнику, клиенты сталкиваются с солидными цифрами и не понимают, откуда они берутся.

Я не буду вас задерживать в неведении. В этой статье мы шаг за шагом разберем реальную смету на работы по студии 29 м², которую мы сейчас завершаем в Краснодаре. Я покажу полный расклад по каждой комнате, а в конце мы подведем общий итог. Материалы (плитка, обои, краска, сантехника) в эту сумму не входят — их закупает заказчик отдельно.

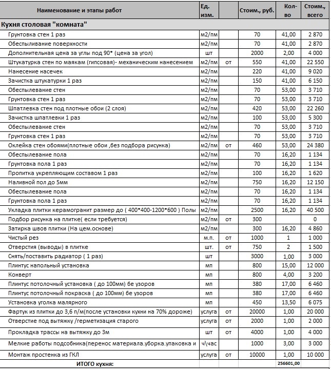
1. КУХНЯ СТОЛОВАЯ "КОМНАТА"

Кухня-гостинная стоимость работ 256 601р
Кухня-гостинная стоимость работ 256 601р

Что важно здесь увидеть: Больше 63 000 рублей ушло только на выравнивание стен и полов. Это не прихоть, а необходимость. На кривых стенах не будет ровно стоять мебель, а обои лягут волнами. Это самая важная инвестиция в качество.

Блок 4. Коридор и Балкон:

Коридор стоимость работ 104 840р
Коридор стоимость работ 104 840р
Балкон стоимость работ 78 260р
Балкон стоимость работ 78 260р

Полный результат можно будет посмотреть в нашем сообществе в «ВК».https://vk.com/krdrusrem

Санузел: самая технологичная и дорогая зона

Ванная комната стоимость работ 207 270р
Ванная комната стоимость работ 207 270р

Электрика и Сантехника и Доп.работы:

Стоимость электромонтажных работ 144 250р
Стоимость электромонтажных работ 144 250р
Стоимость работ по сантехнике 99800
Стоимость работ по сантехнике 99800
Стоимость доп.работ 26 900 р
Стоимость доп.работ 26 900 р

Итог. Так сколько же стоит вся работа?

Мы подробно разобрали каждую статью расходов. Теперь давайте сложим все блоки:

  1. Кухня-гостиная: 256 601 руб.
  2. Санузел: 207 270 руб.
  3. Электрика: 144 250 руб.
  4. Сантехника: 99 800 руб.
  5. Коридор и балкон: 183 100 руб.

Общая стоимость всех ремонтных работ по этой смете составляет 917 921 рубль.

К этой сумме необходимо добавить бюджет на чистовые материалы (плитку, краску, обои, двери, сантехнику, розетки, светильники). В данном проекте он сопоставим со стоимостью работ.

Почему так много для маленькой студии? Потому что капитальный ремонт — это не косметика. Это полная замена всей «начинки» квартиры с созданием идеального основания. Это инвестиция, которая при правильном подходе прослужит 20-30 лет без проблем.

Если после этого разбора у вас остались вопросы по планированию вашего ремонта или вы хотите получить оценку для своего объекта — пишите в комментариях. Разберем вашу ситуацию так же подробно и честно.

P.S. Как вы считаете, какая из статей расходов стала для вас самой неожиданной? Делитесь в комментариях — обсудим!