Найти в Дзене
Андрей Куликов

Спектральный анализ на основе дискретного преобразования Фурье

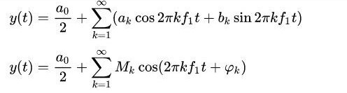
......................................................"Даром дадено, даром давайте", - Исус Христос. Версия 2026.01.05, исправленная и дополненная. В справочнике Дьяконова [1] приведены описание спектрального анализа на основе дискретного преобразования Фурье (ДПФ) [2] и программа 5.1 на бэйсике для карманного компьютера (Pocket Computer) CASIO FX-702P, доступпного для немногих. Автор этой статьи сделал перевод программы 5.1 с бэйсика CASIO FX-702P на Borland Turbo Basic, доступный для многих пользователей MS-DOS, Windows и Android. Спектральный анализ периодических функций заключается в нахождении коэффициентов ряда Фурье a_k и b_k в первой формуле или в нахождении модулей (амплитуд) M_k и фаз гармоник (косинусоид) fi_k во второй формуле: где f_1 - частота первой гармоники (частота повторения), k - номер гармоники. Модули M_k и фазы гармоник fi_k находятся по формулам: Для непрерывных функций коэффициенты ряда Фурье a_k и b_k определяются выражениями: где период повторения периодичес

......................................................"Даром дадено, даром давайте", - Исус Христос.

Версия 2026.01.05, исправленная и дополненная.

В справочнике Дьяконова [1] приведены описание спектрального анализа на основе дискретного преобразования Фурье (ДПФ) [2] и программа 5.1 на бэйсике для карманного компьютера (Pocket Computer) CASIO FX-702P, доступпного для немногих. Автор этой статьи сделал перевод программы 5.1 с бэйсика CASIO FX-702P на Borland Turbo Basic, доступный для многих пользователей MS-DOS, Windows и Android.

Спектральный анализ периодических функций заключается в нахождении коэффициентов ряда Фурье a_k и b_k в первой формуле или в нахождении модулей (амплитуд) M_k и фаз гармоник (косинусоид) fi_k во второй формуле:

где f_1 - частота первой гармоники (частота повторения), k - номер гармоники.

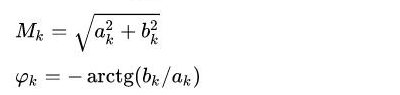
Модули M_k и фазы гармоник fi_k находятся по формулам:

-2

Для непрерывных функций коэффициенты ряда Фурье a_k и b_k определяются выражениями:

-3

где

-4

период повторения периодической функции y(t), которым в дискретном преобразовании Фурье (ДПФ) [1] соответствуют формулы численного интегрирования методом прямоугольников:

-5

где

-6

шаг, с которым расположены абциссы y(t).

Найденные коэффициенты ряда Фурье для m=N/2 гармоник приближают ряд к функции y(t) с наименьшей среднеквадратичной погрешностью. Следовательно, числовой спектральный анализ является разновидностью метода наименьших квадратов при приближении тригонометрического ряда к аппроксимируемой функции y(t).

-7

Рис.1. Снимок с экрана результата прогона программы 5-1.BAS с контрольным примером из справочника Дьяконова в компиляторе Borland Turbo Basic.

Программа 5-1.BAS на Borland Turbo Basic'е

-8

Литература:

1. Д ь я к о н о в В. П. Справочник по алгоритмам и программам на языке бейсик для персональных ЭВМ: Справочник. — М.: Наука. Гл. ред. физ.-мат. лит., 1989. — 240 с. — ISBN 5-02-014530-0. Файл: Dyakonov_Spravochnik.djvu

2. Дискретное преобразование Фурье. Википедия.

Приложения:

1. Программа 5-1.BAS

2. Архив с файлами Borland Turbo Basic'а TB.rar

3. Руководство по Borland Turbo Basic'у TBASIC.TXT