Найти в Дзене
Hi-Tech Mail

Ученые послушали гравитационное эхо столкновения черных дыр

Международная команда физиков впервые подробно смоделировала так называемые поздние гравитационные «хвосты» (англ. telltale tail, буквально «хвосты-сказочники», смысловая игра строится на созвучии слов tell (рассказывать), tale (сказка) и tail (хвост)), возникающие после слияния двух черных дыр. Этот феномен до сих пор оставался теоретическим предсказанием, но не имел реалистичной, полночисленной модели в рамках общей теории относительности (ОТО). Когда две черных (не излучающих в силу непомерной гравитации свет) сущности сталкиваются, они тем не менее оставляют в космосе следы — испускают мощные гравитационные волны. Создается «гудок» в ткани пространства-времени, зафиксированный уже несколько раз детекторами LIGO и LISA. После основных колебаний остается слабый, но длительный «хвост», аналог оптического (рентгеновского, радиоволнового) послесвечения — тонкое дрожание пространства, которое несет информацию не только о самом событии, но и о структуре окружающего катаклизм пространства.

Международная команда физиков впервые подробно смоделировала так называемые поздние гравитационные «хвосты» (англ. telltale tail, буквально «хвосты-сказочники», смысловая игра строится на созвучии слов tell (рассказывать), tale (сказка) и tail (хвост)), возникающие после слияния двух черных дыр. Этот феномен до сих пор оставался теоретическим предсказанием, но не имел реалистичной, полночисленной модели в рамках общей теории относительности (ОТО).

Когда две черных (не излучающих в силу непомерной гравитации свет) сущности сталкиваются, они тем не менее оставляют в космосе следы — испускают мощные гравитационные волны. Создается «гудок» в ткани пространства-времени, зафиксированный уже несколько раз детекторами LIGO и LISA. После основных колебаний остается слабый, но длительный «хвост», аналог оптического (рентгеновского, радиоволнового) послесвечения — тонкое дрожание пространства, которое несет информацию не только о самом событии, но и о структуре окружающего катаклизм пространства.

До сих пор такие «хвосты» можно было видеть лишь в упрощенных моделях. Новое исследование стало первым, где их получили в полном численном расчете общей теории относительности — с учетом всех нелинейностей и реальных эффектов столкновения.

Значение открытия

«Хвосты» возникают не в результате первичного «звонка», генерируемого гравитационными волнами, а в процессе того, как пространство-время «успокаивается» после интенсивного возбуждения столкновения. Ученые описывают «хвосты» как низкочастотное, непрерывное «гудение», остающееся после первых мощных колебаний.

Важность этих явлений заключается в том, что «хвосты» зависят не только от параметров самих черных дыр, но и от большой структуры пространства-времени, через которую прошли волны. Изучение подобного сигнала может дать ученым дополнительные данные о геометрии Вселенной и проверке ОТО Эйнштейна в предельно экстремальных условиях, которые возникают при коллизии черных дыр.

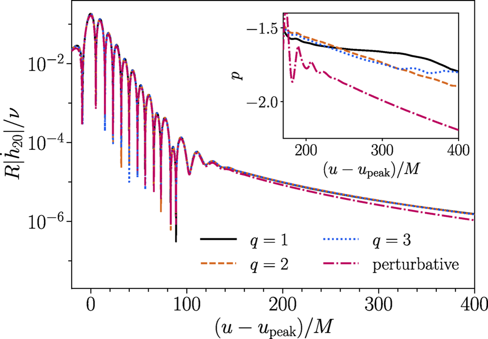
   Диаграмма «хвоста» столкновения черных дыр. Масштабируемая по массе квадрупольная амплитуда событий как функция времени, прошедшего с момента достижения пика. На вставке показано поведение остаточного показателя. Жирные линии представляют нелинейную эволюцию лобовых столкновений сравнимой массы, в то время как пунктирная линия представляет возмущающую эволюцию радиального падения с совместимыми исходными данными
Диаграмма «хвоста» столкновения черных дыр. Масштабируемая по массе квадрупольная амплитуда событий как функция времени, прошедшего с момента достижения пика. На вставке показано поведение остаточного показателя. Жирные линии представляют нелинейную эволюцию лобовых столкновений сравнимой массы, в то время как пунктирная линия представляет возмущающую эволюцию радиального падения с совместимыми исходными данными

Чтобы «услышать» такую слабую компоненту, исследователи специально моделировали случаи, когда черные дыры сталкиваются практически лоб в лоб — такие события редки в природе, но наилучшим образом выявляют хвостовой эффект в симуляциях.

Теперь у нас есть инструменты, чтобы точно настроить симуляции и понять, как ведут себя «хвосты» в более реалистичных сценариях столкновений.Марина де Амисис

Недавно ученые зафиксировали крупнейшее слияние черных дыр за всю историю наблюдений.