Добавить в корзинуПозвонить
Найти в Дзене
Деньги по делу

Можно ли зарабатывать на жизнь трейдингом

Каждый из нас сталкивался со сказочно богатыми трейдерами-блогерами, которые показывают, насколько легко и просто они зарабатывают свои миллионы. Они утверждают, что именно трейдинг и именно для тебя — путь к финансовой независимости и свободе. Может да, а может и нет, а может…обратимся к сухой и непредвзятой статистике? Что говорит статистика
В 2012 году студенты Калифорнийского университета опубликовали исследование, в котором они изучили так называемых дейтредеров, то есть трейдеров, которые совершают краткосрочные сделки внутри дня. В качестве рассматриваемых данных взяли тайваньский фондовый рынок за период с 1992 по 2006 год.
Результаты получились следующими: Второе исследование было проведено на другом конце земного шара в одной из самых престижных школ бизнеса Латинской Америки. Авторы изучили опыт 19 646 дейтрейдеров на Бразильском рынке за период с 2013 по 2015 год. Посмотрим на результаты: Исходя из статистики, трейдеры из Бразилии теряли свой депозит в течении первого год

Каждый из нас сталкивался со сказочно богатыми трейдерами-блогерами, которые показывают, насколько легко и просто они зарабатывают свои миллионы. Они утверждают, что именно трейдинг и именно для тебя — путь к финансовой независимости и свободе. Может да, а может и нет, а может…обратимся к сухой и непредвзятой статистике?

Что говорит статистика

В 2012 году студенты Калифорнийского университета опубликовали
исследование, в котором они изучили так называемых дейтредеров, то есть трейдеров, которые совершают краткосрочные сделки внутри дня. В качестве рассматриваемых данных взяли тайваньский фондовый рынок за период с 1992 по 2006 год.

Результаты получились следующими:

  • В среднем за год на рынок приходило около 450 000 новых дейтрейдеров из которых только около 90 000 (примерно 20%) торговали в плюс в течении года.
  • Большинство из 90 000 прибыльных дейтрейдеров теряли деньги в последующие годы.
  • 4000 трейдеров (0,88% от общего числа) показывали положительные результаты на дистанции больше 1 года.
  • Самые успешные трейдеры показывали результаты прибыли в 0,613% в день (около 223% годовых) и их было 0,11% от общего числа. А вот 99% трейдеров показывали средний убыток в 0,115% в день, то есть в год они в среднем теряли около половины своего капитала.

Второе исследование было проведено на другом конце земного шара в одной из самых престижных школ бизнеса Латинской Америки. Авторы изучили опыт 19 646 дейтрейдеров на Бразильском рынке за период с 2013 по 2015 год.

Посмотрим на результаты:

  • В первый день потеряли депозит 1 111 человек (5,7%)
  • В первые 50 дней первоначального взноса лишились 9 978 человек (50,8%)
  • В первые 100 дней — 3 100 человек (15,8%)
  • В первые 200 дней — 2 738 человек (13,9%)
  • В первые 300 дней — 1 168 человек (5,9%)
  • Больше 300 дней смогли продержаться только 1 551 человек из почти 20 тысяч (7,9%)

Исходя из статистики, трейдеры из Бразилии теряли свой депозит в течении первого года в 92,1% случаях. А что же было с теми счастливчиками, которые смогли продержаться более 300 дней? Опять обращаемся к цифрам:

  • 97% тех, кто сохранили деньги в течении первых 300 дней — потеряли депозит в дальнейшем
  • Только 1,1% из 1 551 трейдеров смогли стабильно зарабатывать выше средней Бразильской зарплаты (16$ в день)
  • 0,5% зарабатывали от 80$ до $310$ ежедневноКак мы видим, рынок одинаково жестко отработал несмотря на разные страны и периоды: подавляющее большинство трейдеров теряют деньги, а стабильная прибыль — редкость даже среди упорных.
-2
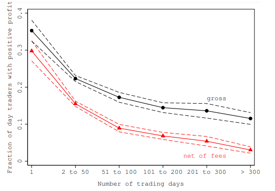
  • Ось X — количество дней, которые торговал трейдер
  • Ось Y — коэффициент прибыльности.
  • Черная сплошная линия — динамика прибыльности по каждой группе трейдеров без учета издержек
  • Сплошная красная линия — динамика прибыльности с учетом издержек.

Исходя из этого графика мы можем сделать простой вывод — чем дольше торгуют дейтрейдеры, тем меньше среди них остаётся прибыльных.

Как мы видим, рынок одинаково жестко отработал несмотря на разные страны и периоды: подавляющее большинство трейдеров теряют деньги, а стабильная прибыль — редкость даже среди упорных.

Можно ли заработать на трейдинге

Сухие цифры нам говорят, что трейдинг — это не золотая жила, а минное поле, где шансы на успех есть, но они минимальны. Аналогичные исследования из других рынков подтверждают эту картину. Например, анализ розничных форекс-трейдеров показывает, что около 70% теряют деньги каждый квартал. В США и Европе статистика варьируется от 70% до 97% проигрышей в течении года.

Добавим математический аспект: в дейтрейдинге отрицательное математическое ожидание — это норма. Комиссии и спреды съедают потенциальную прибыль, превращая даже нейтральные сделки в убыточные. Без преимуществ, как у институционалов, средний трейдер обречен на потерю всех своих средств в долгосрочной перспективе.

Так что если вы все же хотите зарабатывать этим на жизнь, я рекомендую 10 раз подумать. Вместо итога приведу цитату американского финансиста и политического деятеля Бернарда Баруха:

«Если вы готовы забыть обо всем на свете и изучать историю рынка и основные компании, чьи акции сейчас торгуются, с тщательностью студента-медика, штудирующего анатомию, если к тому же вы обладаете стальными нервами игрока, шестым чувством ясновидца и храбростью льва, то у вас есть призрачная надежда [добиться успеха в трейдинге]».

Если вам было интересно, то ставьте реакции и подписывайтесь на мой телеграм-канал, благодарю всех за поддержку:)