Найти в Дзене
Андрей Куликов

Поиск максимума методом дихотомии на Borland Turbo Basic

......................................................"Даром дадено, даром давайте", - Исус Христос. Версия 2025.12.22, исправленная. В справочнике Дьяконова [1] приведено описание и программа 4.26
поиска максимума функции методом дихотомии на Basic'е для карманного компьютера CASIO FX-702P, доступного только для немногих. Автор этой статьи сделал перевод этой программы на Borland Turbo Basic, доступный для многих пользователей MS-DOS и Windows. В программе методом дихотомии ищется максимум функции: на интервале [2, 5]. Результат проверяется более точным методом, в котором от исходной функции берётся первая производная: и приравнивается к нулю: Корни получившегося уравнения находятся по формуле: из которых в диапазон поиска [2, 5] попадает только второй корень. Рис.1. Снимок с экрана результата прогона программы 4-26.BAS с контрольным примером из справочника Дьяконова в компиляторе Borland Turbo Basic. Литература: 1. Д ь я к о н о в В. П. Справочник по алгоритмам и программам на языке

......................................................"Даром дадено, даром давайте", - Исус Христос.

Версия 2025.12.22, исправленная.

В справочнике Дьяконова [1] приведено описание и программа 4.26
поиска максимума функции методом дихотомии на Basic'е для карманного компьютера CASIO FX-702P, доступного только для немногих. Автор этой статьи сделал перевод этой программы на Borland Turbo Basic, доступный для многих пользователей MS-DOS и Windows.

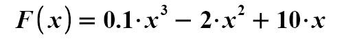
В программе методом дихотомии ищется максимум функции:

на интервале [2, 5].

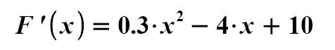
Результат проверяется более точным методом, в котором от исходной функции берётся первая производная:

-2

и приравнивается к нулю:

-3

Корни получившегося уравнения находятся по формуле:

-4

из которых в диапазон поиска [2, 5] попадает только второй корень.

-5

Рис.1. Снимок с экрана результата прогона программы 4-26.BAS с контрольным примером из справочника Дьяконова в компиляторе Borland Turbo Basic.

Программа 4-26.BAS на Borland Turbo Basic'е

-6

Литература:

1. Д ь я к о н о в В. П. Справочник по алгоритмам и программам на языке бейсик для персональных ЭВМ: Справочник. — М.: Наука. Гл. ред. физ.-мат. лит., 1989. — 240 с. — ISBN 5-02-014530-0. Файл: Dyakonov_Spravochnik.djvu

Приложения:

1. Программа: 4-26.BAS

2. Borland Turbo Basic, архив: TB.rar

3. Borland Turbo Basic, руководство: TBASIC.TXT