Добавить в корзинуПозвонить
Найти в Дзене
Заметки конструктора

Простой способ извлечения квадратного корня.

Предположим требуется извлечь корень из какого-нибудь числа, например 10. Мы знаем что квадратный корень из 9 равен 3, значит корень из 10 будет больше 3. Так как подкоренное количество равно произведению двух своих квадратных корней, то если одно из них х будет по недостатку, то другой y будет по избытку: Примем в нашем случае x=3, следовательно, Искомый корень заключается между обоими этими значениями, положим что он будет равен среднему арифметическому от них, тогда: Если мы хотим получить еще более точное значение, то поступаем с найденным значением точно также: Для инженерных расчетов первое приближение бывает, однако, вполне достаточным.

Предположим требуется извлечь корень из какого-нибудь числа, например 10.

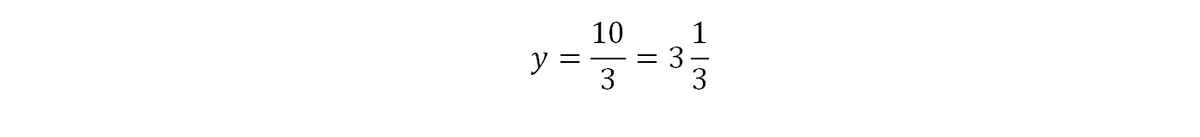
Мы знаем что квадратный корень из 9 равен 3, значит корень из 10 будет больше 3. Так как подкоренное количество равно произведению двух своих квадратных корней, то если одно из них х будет по недостатку, то другой y будет по избытку:

Примем в нашем случае x=3, следовательно,

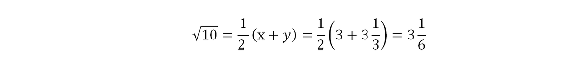
Искомый корень заключается между обоими этими значениями, положим что он будет равен среднему арифметическому от них, тогда:

-2

Если мы хотим получить еще более точное значение, то поступаем с найденным значением точно также:

-3

Для инженерных расчетов первое приближение бывает, однако, вполне достаточным.