Добавить в корзинуПозвонить
Найти в Дзене

21 задание ЕГЭ математика база

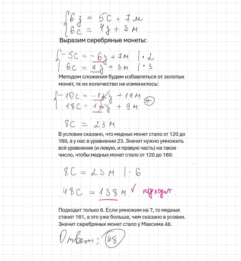
В обменном пункте можно совершить одну из двух операций: за 6 золотых монет получить 5 серебряных и 7 медных; за 6 серебряных монет получить 4 золотых и 3 медных. У Максима были только серебряные монеты. После нескольких посещений обменного пункта серебряных монет у него стало меньше, золотых не появилось, но стало от 120 до 160 медных монет. На сколько уменьшилось количество серебряных монет у Максима? Пусть с - серебряные монеты, з - золотые и м - медные и составим систему уравнений:

В обменном пункте можно совершить одну из двух операций:

  • за 6 золотых монет получить 5 серебряных и 7 медных;
  • за 6 серебряных монет получить 4 золотых и 3 медных.

У Максима были только серебряные монеты. После нескольких посещений обменного пункта серебряных монет у него стало меньше, золотых не появилось, но стало от 120 до 160 медных монет. На сколько уменьшилось количество серебряных монет у Максима?

Пусть с - серебряные монеты, з - золотые и м - медные и составим систему уравнений: