Найти в Дзене
СпецКурс

М6 ДЗ Домашняя проверочная работа: действия сложения и вычитания смешанных чисел (78)

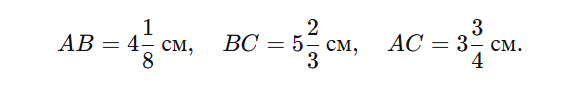
1. Восстановите алгоритм сложения смешанных чисел, записав в нужном порядке номера действий: 1) привести к наименьшему общему знаменателю дробные части чисел; 2) отдельно выполнить сложение целых и отдельно дробных частей; 3) при необходимости сократить дробь, выделить целую часть и прибавить её к полученной целой части. 2. Запишите выражение и найдите его значение: 3. Найдите периметр треугольника ABC, если

1. Восстановите алгоритм сложения смешанных чисел, записав в нужном порядке номера действий:

1) привести к наименьшему общему знаменателю дробные части чисел;

2) отдельно выполнить сложение целых и отдельно дробных частей;

3) при необходимости сократить дробь, выделить целую часть и прибавить её к полученной целой части.

2. Запишите выражение и найдите его значение:

3. Найдите периметр треугольника ABC, если

-2