Добавить в корзинуПозвонить
Найти в Дзене

Два года эксперимента позади. Итоги и выводы...

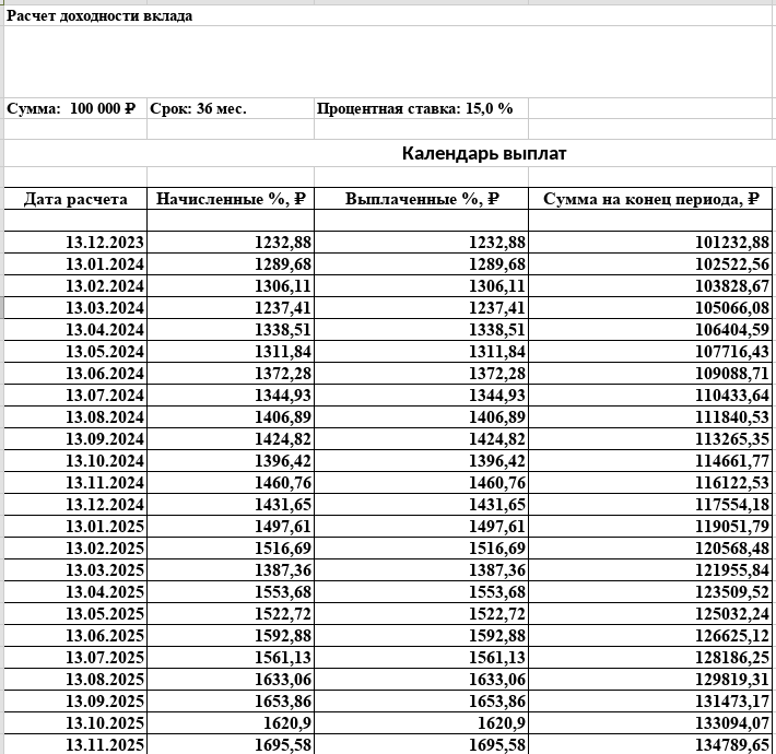
Добрый день, друзья! Два года назад – в середине ноября 2023 года мы начали эксперимент: открыли вклад на 100 000 руб. в банке на три года под 15% годовых и сформировали три портфеля облигаций, каждый также по 100 000 руб. Цель эксперимента - выяснить, какой из инструментов покажет большую доходность на дистанции трех лет. Чуть позже к ним присоединился портфель из ОФЗ. Посмотрим на итоги гонки за два года, за две третьих общего пути. Первым делом посмотрим на результаты вклада: За два года вклад заработал 34789,65 руб., соответственно доходность за этот период составила 34789,65/100000*100%=34,79%. Таким образом, среднегодовая доходность - 17,4%. Не плохо. Теперь портфели облигаций... С прошлого нашего обзора 12.09.2025 Центральный банк снизил ключевую ставку до 17%, а 24.10.2025 еще раз до 16,5%. Посмотрим, как облигации отреагировали на это решение. Сначала портфель Классический. За три месяца с предыдущего обзора на полученные купоны в сентябре, октябре и ноябре были приобретен

Добрый день, друзья! Два года назад – в середине ноября 2023 года мы начали эксперимент: открыли вклад на 100 000 руб. в банке на три года под 15% годовых и сформировали три портфеля облигаций, каждый также по 100 000 руб. Цель эксперимента - выяснить, какой из инструментов покажет большую доходность на дистанции трех лет.

Чуть позже к ним присоединился портфель из ОФЗ.

Посмотрим на итоги гонки за два года, за две третьих общего пути.

Первым делом посмотрим на результаты вклада:

За два года вклад заработал 34789,65 руб., соответственно доходность за этот период составила 34789,65/100000*100%=34,79%.

Таким образом, среднегодовая доходность - 17,4%. Не плохо.

Теперь портфели облигаций...

С прошлого нашего обзора 12.09.2025 Центральный банк снизил ключевую ставку до 17%, а 24.10.2025 еще раз до 16,5%. Посмотрим, как облигации отреагировали на это решение.

Сначала портфель Классический.

-2

За три месяца с предыдущего обзора на полученные купоны в сентябре, октябре и ноябре были приобретены еще шесть облигаций ГК САМОЛЕТ-БО-П15.

А теперь итоги по портфелю на 20.11.2025:

-3

В августе 2025 доходность портфеля Классический составляла чуть более 39%. Посмотрим, что получилось на 20.11.2025: 42987,21/100000*100%=42,99%, За три месяца мы добавили три процента, а среднегодовая доходность составила почти 21,5%, обогнав доходность вклада более чем на 4%.

-4

Купонный ручеек в Продвинутый портфель за три месяца дал нам возможность приобрести еще пять облигаций Балт Лизинг БО-П10.

Ну и результат портфеля:

-5

На 20.08.2025 доходность портфеля Продвинутый составляла 37,42%, на 20.11.2025 доход этого портфеля составил 41838,07 руб, а доходность: 41838,07/100000*100%=41,84%. Немного меньше, чем у Классического портфеля, но больше, чем у вклада.

Среднегодовая доходность портфеля облигаций с переменным купоном составила 20,9%. Не плохо.

В портфеле Экспериментальный за последние месяца пришли купоны по пяти облигациям Полипласт-П02-БО-03,ПИК К 1Р5 и ОФЗ 26244, что дало нам возможность прикупить еще четыре ОФЗ 26244.

-6

А тут его результаты на 20.11.2025:

-7

На 20.11.2025 стоимость портфеля Экспериментальный составляет: 106262,83 руб. За два года доход этого портфеля составил 6262,83 руб, а доходность - 6,26%. В условиях крепкого рубля доходность портфеля долларовых облигаций слабая. Посмотрим, что будет дальше.

Теперь результаты новичка - портфеля ОФЗ:

-8

В портфеле пришли купоны сразу по трем ОФЗ, что нам позволило пополнить портфель пятью новыми бумагами.

-9

На 20.08.2025 доходность портфеля ОФЗ составляла 20,58%, на 20.11.2025 доход этого портфеля составил 20890,81 руб, а доходность: 20890,81/100000*100%=20,89%, то есть осталась на тех же уровнях, но если учесть, что этому портфелю всего восемь месяцев, то в пересчете на год его потенциальная доходность составит 20,89%/8мес.*12мес.=31,34%.

Таким образом результаты эксперимента за два года следующие:

1. Портфель Классический твердо обосновался на пьедестале и продолжает быть лидером гонки с доходностью 42,99%.

2. Портфель Продвинутый с доходностью 41,84% дышит буквально в спину Классическому.

3. Вклад откатился на третье место с результатом 34,79%.

4. Портфель ОФЗ с результатом 20,89% на четвертом месте, справедливости ради надо отметить, что это его доходность за восемь месяцев.

5. Портфель Экспериментальный плетется в конце с доходностью чуть больше шести процентов.

Какие выводы можно сделать по результатам двух лет эксперимента:

Первый год нашего эксперимента проходил в период повышения ключевой ставки с 15% до 21%, поэтому облигации с постоянным купоном (как в Классическом, так и в Экспериментальном портфеле), конечно проигрывали вкладу в связи с уменьшением их стоимости. Более-менее держался только Продвинутый портфель из облигаций с плавающим купоном. Напомню доходности за первый год:

1. Вклад - 16,12%

2. Продвинутый портфель - 10,58%

3. Классический портфель - 2,66%

4. Экспериментальный портфель - минус.

Напротив, во второй год произошла смена тренда, ставка начала снижаться с 21% до 16,5% сегодня. И это сразу же сказалось на доходности рублевых облигаций, особенно с постоянным купоном. Посмотрите, за последний год Классический портфель прибавил в доходности сразу 40%, продвинутый - 30%. Это говорит о том, что в период понижения ставки доходности облигаций намного больше вклада.

Да, Экспериментальный портфель, проигрывает инфляции, но в нем ставка была на снижение рубля, которая пока не сыграла, смотрим далее.

Если тренд на снижение ставки в 2026 году продолжится у облигаций есть все шансы превзойти вклад по доходности к концу эксперимента.

Ну вот вроде на сегодня и все... А 19.12.2025 - очередное заседание Банка РФ по ставке, кто-то ставит на снижение до 16%, кто-то на то, что останется на сегодняшнем уровне. А как думаете Вы?

Данный обзор не является индивидуальной инвестиционной рекомендацией.

Если нашли что-то новое и интересное для себя в статье - ставьте лайк и подписывайтесь на канал. Также буду рад обратной связи от Вас.