Добавить в корзинуПозвонить
Найти в Дзене

ОГЭ задание 20 неравенства и дробно-рациональные неравенства

Неравенство 1. Максимальное количество баллов 2 Неравенство 2. Максимальное количество баллов 2 Неравенство 3. Максимальное количество баллов 2 Неравенство 4. Максимальное количество баллов 2 Неравенство 5. Максимальное количество баллов 2 Неравенство 6. Максимальное количество баллов 2 Неравенство 7. Максимальное количество баллов 2 Неравенство 8. Максимальное количество баллов 2 Неравенство 1. Максимальное количество баллов 2 Неравенство 2. Максимальное количество баллов 2 Неравенство 3. Максимальное количество баллов 2 Неравенство 4. Максимальное количество баллов 2 Неравенство 5. Максимальное количество баллов 2 Неравенство 6. Максимальное количество баллов 2 Неравенство 7. Максимальное количество баллов 2 Неравенство 8. Максимальное количество баллов 2 Неравенство 9. Максимальное количество баллов 2
Оглавление

ТИП 1

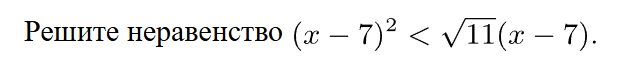
Неравенство 1. Максимальное количество баллов 2

-2

Неравенство 2. Максимальное количество баллов 2

-3
-4

Неравенство 3. Максимальное количество баллов 2

-5

Неравенство 4. Максимальное количество баллов 2

-6

Неравенство 5. Максимальное количество баллов 2

-7

Неравенство 6. Максимальное количество баллов 2

-8

Неравенство 7. Максимальное количество баллов 2

-9

Неравенство 8. Максимальное количество баллов 2

-10

ТИП 2.

Неравенство 1. Максимальное количество баллов 2

-11

Неравенство 2. Максимальное количество баллов 2

-12

Неравенство 3. Максимальное количество баллов 2

-13

Неравенство 4. Максимальное количество баллов 2

-14

Неравенство 5. Максимальное количество баллов 2

-15

Неравенство 6. Максимальное количество баллов 2

-16

Неравенство 7. Максимальное количество баллов 2

-17

Неравенство 8. Максимальное количество баллов 2

-18

Неравенство 9. Максимальное количество баллов 2

-19