Найти в Дзене

Задача, которая встретится на ОГЭ. Проверь, сможешь ли решить.

Свежие фрукты содержат 80% воды, а высушенные  — 28%. Сколько сухих фруктов получится из 288 кг свежих фруктов? Понимание условия Находим массу сухого вещества в свежих фруктах Сухое вещество не уходит при сушке (испаряется только вода). В высушенных фруктах сухое вещество составляет 72% массы Пусть x кг — масса высушенных фруктов. Тогда: Решаем уравнение Ответ Из 288 кг свежих фруктов получится 80 кг сухих.

Свежие фрукты содержат 80% воды, а высушенные  — 28%. Сколько сухих фруктов получится из 288 кг свежих фруктов?

Понимание условия

  • В свежих фруктах 80% воды ⇒ 20% сухого вещества.
  • В высушенных фруктах 28% воды ⇒ 72% сухого вещества.
  • Масса свежих фруктов: 288 кг.

Находим массу сухого вещества в свежих фруктах

Сухое вещество не уходит при сушке (испаряется только вода).

В высушенных фруктах сухое вещество составляет 72% массы

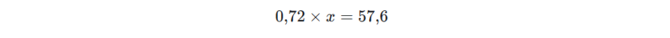
Пусть x кг — масса высушенных фруктов.

Тогда:

-2

Решаем уравнение

-3

Ответ

Из 288 кг свежих фруктов получится 80 кг сухих.