Добавить в корзинуПозвонить
Найти в Дзене

Администрация Вязовского сельсовета Ташлинского района утвердила размеры земель

Об утверждении результатов определения размеров долей в праве общей долевой собственности на земельные участки из земель сельскохозяйственного назначения, выраженных в гектарах и балло-гектарах, в виде простой
правильной дроби. В соответствии с Федеральным законом от 20.03.2025 № 33-Ф3 «Об общих принципах организации местного самоуправления в единой системе публичной власти», статьями 15, 19.1 Федерального закона от 24.07.2002 № 101-Ф3 «Об обороте земель сельскохозяйственного назначения», постановлением Правительства Российской Федерации от 16.09.2020 № 1475 «Об утверждении Правил определения размеров земельных долей, выраженных в гектарах балло-гектарах, в виде простой правильной дроби», Уставом муниципального образования Вязовский сельсовет Ташлинского района Оренбургской области, на основании данных, указанных в выписках из Единого государственного реестра недвижимости об объектах недвижимости, в целях определения размера земельных долей на земельные участки из земель сельскохозяйс

Об утверждении результатов определения размеров долей в праве общей долевой собственности на земельные участки из земель сельскохозяйственного назначения, выраженных в гектарах и балло-гектарах, в виде простой
правильной дроби.

В соответствии с Федеральным законом от 20.03.2025 № 33-Ф3 «Об общих принципах организации местного самоуправления в единой системе публичной власти», статьями 15, 19.1 Федерального закона от 24.07.2002 № 101-Ф3 «Об обороте земель сельскохозяйственного назначения», постановлением Правительства Российской Федерации от 16.09.2020 № 1475 «Об утверждении Правил определения размеров земельных долей, выраженных в гектарах балло-гектарах, в виде простой правильной дроби», Уставом муниципального образования Вязовский сельсовет Ташлинского района Оренбургской области, на основании данных, указанных в выписках из Единого государственного реестра недвижимости об объектах недвижимости, в целях определения размера земельных долей на земельные участки из земель сельскохозяйственного назначения, находящихся в общей долевой собственности, выраженных в гектарах или балло-гектарах, в виде простой правильной дроби
ПОСТАНОВЛЯЕТ:
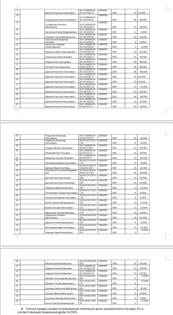
1. Утвердить результаты определения размеров долей в праве общей долевой собственности на земельные участки из земель сельскохозяйственного назначения, выраженных в гектарах или балло-гектарах, в виде простой правильной дроби согласно приложения.
2. Администрации муниципального образования Вязовский сельсовет Ташлинского района Оренбургской области по истечении 30 дней со дня обнародования настоящего постановления обеспечить его направление в Управление Федеральной службы государственной регистрации, кадастра и картографии по Оренбургской области для внесения изменений в сведения Единого государственного реестра недвижимости в отношении размеров долей в праве общей долевой собственности на земельные участки, указанные в пункте 1 настоящего постановления.
3. Разместить настоящее постановление в сетевом издании «Южный Урал» областной информационный портал» в информационно-телекоммуникационный сети «Интернет»,(www.yuzh-ural.ru), и на официальном сайте администрации муниципального образования Вязовский сельсовет.
4. Контроль за исполнением настоящего постановления оставляю за собой.

Глава МО Вязовский сельсовет
О.В. Мишиева

-2