Найти в Дзене

. Из сборника задач по математике 8 класс. 67.

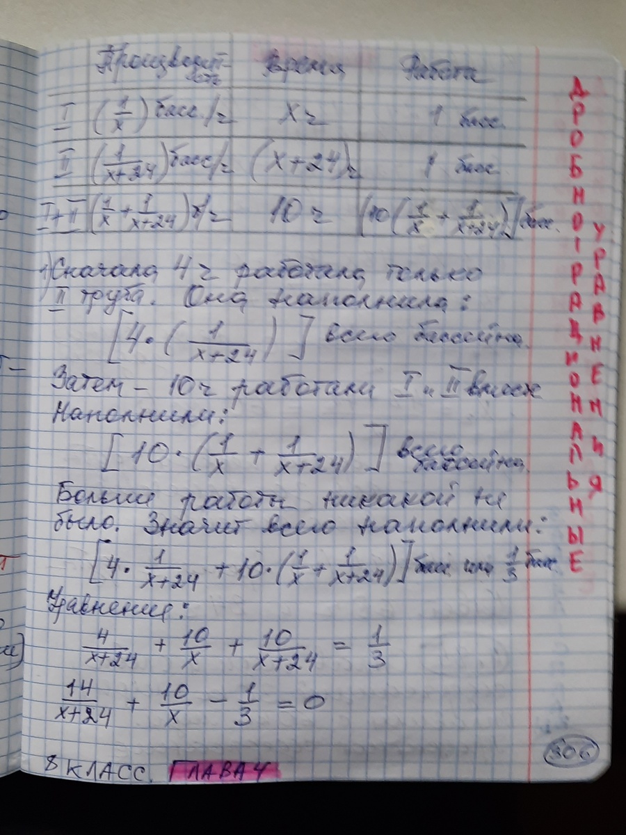
Задания этого сборника будут интересны и полезны и ученикам 7-ых и 9-ых классов. Дробно-рациональные уравнения. Задачи на совместную работу, растворы, сплавы. Пожалуйста, если увидели ошибку или что-то не понятно, пишите. Страницы 305 - 310.

Задания этого сборника будут интересны и полезны и ученикам 7-ых и 9-ых классов.

Дробно-рациональные уравнения. Задачи на совместную работу, растворы, сплавы. Пожалуйста, если увидели ошибку или что-то не понятно, пишите.

Страницы 305 - 310.

-2
-3
-4
-5
-6