Добавить в корзинуПозвонить
Найти в Дзене
Просто Училка. Методичка

Треугольники со степенями: краткий обзор тем 7 класса по математике. Неделя 13

Продолжаем помогать родителям, которые следят за школьной успеваемостью ребёнка. 7 класс. Геометрия Полностью практическая неделя. Треугольники и все о них. Основные понятия и свойства Определение треугольника: Треугольником называется фигура, состоящая из трех точек (вершин), соединенных отрезками (сторонами). Виды треугольников: По сторонам: равнобедренный, равносторонний, разносторонний. По углам: остроугольный, прямоугольный, тупоугольный. Основные элементы треугольника: Стороны. Углы. Высоты, биссектрисы, медианы. Сумма внутренних углов равна 180 градусов. Внешний угол равен сумме двух внутренних углов, не смежных с ним. Признаки равенства треугольников Первый признак равенства треугольников: Если две стороны и угол между ними одного треугольника соответственно равны двум сторонам и углу между ними другого, то треугольники равны. Второй признак равенства треугольников: Если одна сторона и два прилежащих к ней угла одного треугольника соответственно равны стороне и двум прилежащим
Оглавление

Продолжаем помогать родителям, которые следят за школьной успеваемостью ребёнка.

7 класс. Геометрия

Полностью практическая неделя.

Треугольники и все о них.

Основные понятия и свойства

Определение треугольника: Треугольником называется фигура, состоящая из трех точек (вершин), соединенных отрезками (сторонами).

Виды треугольников:

  • По сторонам: равнобедренный, равносторонний, разносторонний.
  • По углам: остроугольный, прямоугольный, тупоугольный.

Основные элементы треугольника:

  • Стороны.
  • Углы.
  • Высоты, биссектрисы, медианы.
Сумма внутренних углов равна 180 градусов.

Внешний угол равен сумме двух внутренних углов, не смежных с ним.

Признаки равенства треугольников

  • Первый признак равенства треугольников: Если две стороны и угол между ними одного треугольника соответственно равны двум сторонам и углу между ними другого, то треугольники равны.
  • Второй признак равенства треугольников: Если одна сторона и два прилежащих к ней угла одного треугольника соответственно равны стороне и двум прилежащим к ней углам другого треугольника, то треугольники равны.
  • Третий признак равенства треугольников: Если три стороны одного треугольника соответственно равны трем сторонам другого, то треугольники равны.

7 класс. Алгебра

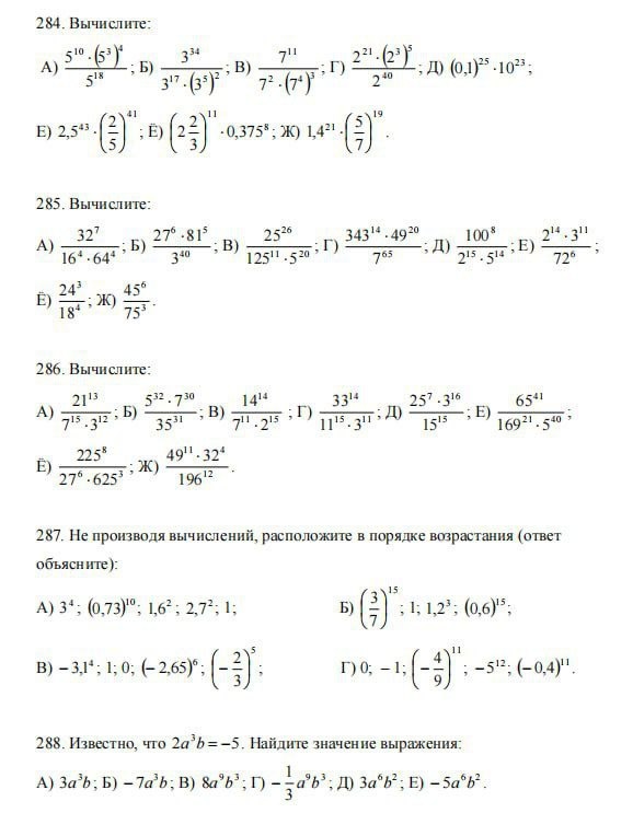
Степени и все о них.

Степенью числа a с натуральным показателем n называют произведение n множителей, каждый из которых равен числу a.

2³=2×2×2=8

(−3)²=(−3)×(−3)=9

Свойства степеней

  • При умножении степеней с одинаковыми основаниями показатели складываются.
  • При делении степеней с одинаковыми основаниями показатели вычитаются.
  • Возведение степени в степень:

(𝑎ᵐ)ⁿ=𝑎ᵐⁿ

  • Любое число в нулевой степени равно единице, кроме нуля:

𝑎⁰=1, 𝑎≠0

Для повторения и закрепления - простейшие задачи, которые нужно решить с помощью составления уравнения. Даже если их с листа можно решить арифметикой, все равно нужно сначала составить уравнение, а затем решать. Цель - научиться составлять математическую модель задачи.

Вот задания. По треугольникам и степеням они местами чуть сложнее учебника.

-2
-3
-4

❗️Если у вас появились трудные номера по темам поста, пишем сюда. Мы с завучем канала, Галиной Наильевной, постараемся помочь.

❗️Если у вас есть вопросы по другим темам седьмого класса, тоже пишите.

❗️Если у вас возникли срочные вопросы по другим классам во внеплановые дни, мы тоже постараемся помочь.

❗️В субботу будет продолжать выходить рубрика "Математическая помощь", в которой мы будем коротко освещать математические трудности недели и ждать ваших вопросов💯

***

Подписаться на мой телеграм-канал нужно здесь👉:https://t.me/ProstoUchilkalive

Поддержать работу канала можно тут👉: Спасибо🙏