Найти в Дзене
Chemical moments

Самый сложный небелковый токсин

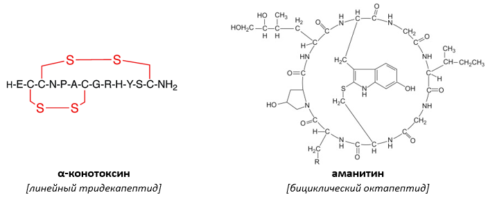
Природа не устает удивлять сложностью своих творений и решений, в том числе и с точки зрения химического разнообразия биологически активных соединений, к которым, безусловно, необходимо отнести и токсины. В целом все токсины можно разделить на белковые и небелковые. К белковым, очевидно, относят протеиновые структуры разной сложности и уровня организации. К наиболее крупным молекулам такого класса относится известный ботулотоксин А, молекулярная масса которого в комплексе с геммаглютинином достигает около 900 кДа (то есть 900 000 атомных единиц массы, а.е.м), а полипептидная цепь содержит около 1300 аминокислот. К самым легким молекулярная этого класса можно отнести короткоцепочечные белки - пептиды - например, нейтротоксин альфа-конотоксин, состоящий всего лишь из 13 аминокислот. Разнообразие прочих молекул этого класса достаточно велико - это токсины бактерий, яды змей, скорпионов, пауков и других животных, а также токсины грибов и растений, например широко известные аманитин и рици

Природа не устает удивлять сложностью своих творений и решений, в том числе и с точки зрения химического разнообразия биологически активных соединений, к которым, безусловно, необходимо отнести и токсины.

В целом все токсины можно разделить на белковые и небелковые. К белковым, очевидно, относят протеиновые структуры разной сложности и уровня организации. К наиболее крупным молекулам такого класса относится известный ботулотоксин А, молекулярная масса которого в комплексе с геммаглютинином достигает около 900 кДа (то есть 900 000 атомных единиц массы, а.е.м), а полипептидная цепь содержит около 1300 аминокислот. К самым легким молекулярная этого класса можно отнести короткоцепочечные белки - пептиды - например, нейтротоксин альфа-конотоксин, состоящий всего лишь из 13 аминокислот. Разнообразие прочих молекул этого класса достаточно велико - это токсины бактерий, яды змей, скорпионов, пауков и других животных, а также токсины грибов и растений, например широко известные аманитин и рицин соответственно.

пептидные токсины
пептидные токсины

Не менее велико и разнообразие небелковых токсинов, которые тривиально называют низкомолекулярными токсинами, хотя, как мы убедимся, молекулярная масса некоторых из них может быть достаточно велика. В качестве примеров небелковых токсинов с низкой молекулярной массой можно привести кониин (2-пропилпиперидин, 127 Да), содержащийся в растении болиголов пятнистый и являющийся основой знаменитой цикуты, или метилгидразин (46 Да), содержащийся в сморчках:

низкомолекулярные токсины
низкомолекулярные токсины

Им можно противопоставить один из самых сильных и самый сложный из известных ныне небелковых токсинов - майтотоксин (MTX), являющийся воплощением небелковой химической сложности в природе:

структура майтотоксина
структура майтотоксина

Этот токсин продуцируется микроскопическими водорослями-динофлагеллятами вида Gambierdiscus toxicus и является причиной сигуатеры — самого распространённого в мире пищевого отравления, связанного с употреблением рыбы.

Название майтотоксин восходит к слову «майто», которым на Таити называют рыбу Ctenochaetus striatus, обитающую в коралловых рифах и из которой он впервые был выделен. В целом, из подобных объектов было выделено целое семейство сигуатоксинов (CTX), самым ярким представителем которых и является майтотоксин.

-4

Майтотоксин по праву можно считать одним из самых мощных и при этом самым сложным небелковым токсином - он состоит из 142 атомов углерода, объединенных в 32 6-, 7- и 8-членных эфирных цикла, содержит 98 стереоцентров, 28 гидроксильные, 22 метильные и 2 сульфатно-эфирных группы и имеет молекулярную массу около 3425 Да, что граничит с диапазоном молекулярных масс крупных биополимеров.

Из-за беспрецедентной сложности достоверно установить его структуру удалось относительно недавно - первая работа по установлению структуры этого токсина датирована 1993 годом. При этом споры о его истинной структуре продолжали возникать, хотя все их результаты привели к подтверждению первоначально предложенной структуры. При этом необходимо упомянуть, что для достоверного исследования методом корелляционной ЯМР (в модификации PFG NOESY-HMQC) было необходимо 10-20 мг образца, но, с учетом медленного роста и низкой продуктивности биомассы на их выделение из 6000 литров культуры потребовалось более 10 лет.

Ещё более амбициозной задачей оказался полный синтез этой молекулы - он не осуществлен до сих пор, хотя группа Кирьякоса Николау из Техасского университета в составе 20 химиков потратила более 8 лет на эту задачу. Стратегия заключалась в синтезе 4 конденсированных фрагментов и их последующем конъюгировании. Синтез первых трех блоков (ABCDEFG, GHIKLMNO и C’D’E’F’) удалось осуществить в период с 2007 по 2011 год, о синтезе последнего фрагмента (QRSTUVWXYZA) было сообщено в 2014 году и химикам оставалось доработать 2 боковые цепи и и 2  эфирных цикла (P и B’), но финансирование проекта  было прекращено, что отставило его без дальнейшей реализации. Общее число стадий в полном синтезе майтотоксина не поддается подсчету, но для примера стоит сообщить, что синтез бреветоксина - дальнего и гораздо более простого родственника майтотоксина, содержащего лишь 11 циклов и 23 стереоцентра - состоит из 123 стадий. Очевидно, полный синтез майтотоксина потребовал бы нескольких сотен стадий, а финальный выход был бы исчезающие мал.

буквенные обозначения конденсированных циклов майтотоксина [doi:10.1021/ja509829e ]
буквенные обозначения конденсированных циклов майтотоксина [doi:10.1021/ja509829e ]

Медианная летальная доза (LD50, здесь и далее будет приведена для мыши, внутрибрюшинно, если не огвоорено другое) для майтотоксина составляет около 50 нг/кг, соответственно, смертельная доза майтотоксина для человека составляет около 5-10 мкг, что среди небелковых токсинов сопоставимо только с палитоксином из коралловых полипов и тех же динофлагеллят (LD50=150 нг/кг) и батрахотоксином - стероидным нейротоксином лягушек-древолазов (LD50= 2-3 мг/кг):

структуры батрахотоксина и палитоксина
структуры батрахотоксина и палитоксина

Майтотоксин относится к цитотоксинам и является мощнейшим активатором потенциал-зависимых кальциевых каналов (L-типа) кальциевой сигнальной системы, являющегося одной из ключевых сигнальных систем организма. При попадании в организм майтоотоксин необратимо активирует потенциал-независимые кальциевые каналы в клеточных мембранах, в результате чего ионы кальция (Ca²⁺) беспрепятственно поступают в клетку. Это вызывает массивное и неконтролируемое поступления кальция в цитоплазму клеток, что вызывает "кальциевый шторм", крайне негативно проявляющийся в основных системах функционирования организма. Последствия "кальциевого шторма" при интоксикации майтотоксином включают в себя гиперстимуляцию мышечных клеток (вызывает массивные и некоординированный сокращения гладкой мускулатуры, приводящие к рвоте, и скелетной мускулатуры, результирующеся судорогами), нарушение работы сердца (резкая деполяризация кардиомиоцитов, приводящая к гипотензии, аритмии, брадикардии и остановке сердца), активации ферментов (протеазы, фосфолипазы и эндонуклеазы начинают разрушать клетки изнутри), митохондриальной дисфункции (перегруз митохондрий приводит к запуску апоптоза) и неконтролируемый выброс нейромедиаторов из нервных окончаний, усугубляющий все остальные симптомы.

К другим характерным симптомам отравления майтотоксином можно отнести обильную водянистую диарею, болевые спазмы в животе, нарушения дыхания, ощущения покалывания (парестезии), сильный озноб, зуд, металлический привкус во рту и посинения кожи и слизистых из-за недостатка кислорода (цианоз). Наиболее опасными являются симптомы со стороны сердечно-сосудистой системы, сердечно-сосудистый коллапс и шок являются основной причиной смертности при подобной интоксикации. В случае несмертельной интоксикации симптомы могут длиться от недель до месяцев и даже нескольких лет.

Биосинтез майтотоксина происходит путем "гибридного поликетид-пептидного" пути, позволяющим производить активные молекулы высокой сложности, что было бы невозможно при использовании какого-либо одного из этих путей. Сам по себе факт того, что одноклеточный организм может продуцировать настолько сложную молекулу, безусловно, поражает, причем прямое функциональное назначения токсина вызывает вопросы поскольку он не представляет вреда для рыб, питающимися этими водорослями, однако такие рыбы обуславливают накопление майтотоксина в биологической среде. При этом майтотоксин все же токсичен для мелких травоядных организмов, которые могут рассматривать эти водоросли в качестве пищи (мелкие ракообразные, улитки, морские ежи, личинки рыб и пр.), что защищает их от поедания ими. Также майтотоксин выделяется в окружающую среду, и будучи водорастворимым создает вокруг популяции "стерильную зону", что снижает конкуренцию за ресурсы и позволяет Gambierdiscus доминировать в своей экологической нише. С учетом того, что система кальциевой сигнализации является одним из самых древних и консервативных в эволюции, она достаточно универсальна для многих живых организмов, что обуславливает в том числе и токсическое действие на человека. При этом эволюционно майтотоксин нацелен вовсе не на человека, а на потребителей водорослей, однако, накапливаясь в рыбе, невосприимчивой к нему в силу особенностей физиологии, он доходит до самой вершины пищевой цепочки.

Необходимо также добавить, что помимо майтотоксина Gambierdiscus биосинтезируют и предшественники упоминавшегося сигуатоксина (CTX), наряду с майтотоксином являющимся причиной сигуатеры. Он менее токсичен (LD50 ~0,35 мкг/кг) и более прост по строению, однако демонстрируют фрагментарную общность со структурой майтотоксина:

структура цигуатоксина
структура цигуатоксина

По сравнению с другим крайне известным токсином - тетродотоксином из- рыбы фугу, имеющим LD50 10 мкг/кг, майтотоксин оказывается мощнее в 200 раз и более чем в 200 000 раз мощнее, чем классический цианид калия с LD50 около 10 мг/кг массы тела.

Таким образом, по токсичности майтотоксин хоть и уступает белковым токсинами, в частности, упоминавшемуся нейротоксину ботулотоксину А, имеющему LD50 около 2 нг/кг при внутривенном введении мышам, но все же является крайне мощным химическим агентом, ставшим сильным эволюционным преимуществом для Gamberdiscus toxicus 20-30 миллионов лет назад и позволившему наряду с другими сигуатоксинами крайне успешно дожить этому виду до наших дней.

Резюмируя, можно сказать, что майтотоксин представляет собой не просто один из самых смертоносных ядов, но и настоящий шедевр химической эволюции, своеобразную «вершину айсберга» в мире низкомолекулярных токсинов. Его головокружительная структурная сложность, до сих пор бросающая вызов синтетической химии, и невероятная эффективность в нарушении фундаментальной кальциевой сигнализации делают его мощнейшим оружием в конкурентной борьбе. История майтотоксина — это наглядная демонстрация того, как микроскопический организм, решая свои «приземлённые» задачи выживания в коралловых рифах, способен породить молекулу, которая остаётся предметом одновременно восхищения и ужаса на вершине человеческого научного познания.