Найти в Дзене
Светлана Маразенкова

ЕГЭ по химии. Инструкция к 29-му заданию

Согласно опубликованному отчёту ФИПИ о результатах ЕГЭ по химии 2025 года, только 34,9% выпускников справились с 29-м заданием (это заметно меньше, чем в 2024 г. - 41,6%) Между тем, это задание не бывает безнадёжным (это всё-таки не 34-я задача). Здесь нужно показать умение "определять окислитель и восстановитель, объяснять сущность изученных окислительно-восстановительных реакций и составлять их уравнения" (цитирую спецификацию). Конечно, суть окислительно-восстановительных процессов хорошо понятна каждому, кто готовится к ЕГЭ. И определить окислитель и восстановитель в готовом уравнении сможет каждый школьник. Однако, что делать с 29-м заданием? Как увидеть нужные вещества и сформировать корректное уравнение, даже если никогда его раньше не видел? Рассказываю и показываю на конкретных примерах. 1. Выписываем формулы предложенных веществ и, может быть, некоторые вещества вычёркиваем из списка - те, для которых нехарактерны ОВР, с устойчивыми степенями окисления элементов. 2. Расставля

Согласно опубликованному отчёту ФИПИ о результатах ЕГЭ по химии 2025 года, только 34,9% выпускников справились с 29-м заданием (это заметно меньше, чем в 2024 г. - 41,6%) Между тем, это задание не бывает безнадёжным (это всё-таки не 34-я задача). Здесь нужно показать умение "определять окислитель и восстановитель, объяснять сущность изученных окислительно-восстановительных реакций и составлять их уравнения" (цитирую спецификацию).

Конечно, суть окислительно-восстановительных процессов хорошо понятна каждому, кто готовится к ЕГЭ. И определить окислитель и восстановитель в готовом уравнении сможет каждый школьник.

Однако, что делать с 29-м заданием? Как увидеть нужные вещества и сформировать корректное уравнение, даже если никогда его раньше не видел?

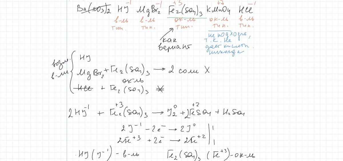
Рассказываю и показываю на конкретных примерах.

Вариант 20 из сборника ФИПИ-2026.
Вариант 20 из сборника ФИПИ-2026.

1. Выписываем формулы предложенных веществ и, может быть, некоторые вещества вычёркиваем из списка - те, для которых нехарактерны ОВР, с устойчивыми степенями окисления элементов.

2. Расставляем те степени окисления элементов, которые могут меняться и определяем, какое вещество может быть восстановителем, какое - окислителем, а какое - создавать среду. Особо обращаем внимание на типичные окислители и восстановители.

3. И вот только теперь читаем условие задачи, смотрим, какие продукты мы должны получить.

4. Начинаем перебор. Берём типичный, яркий окислитель или восстановитель и подбираем для него пару, а также среду. Формируем левую часть уравнения - записываем на первом месте восстановитель, на втором - окислитель, на третьем - среду.

5. Формируем электронный баланс. Записываем наиболее типичный переход восстановителя, потом - переход окислителя. Для этого, конечно, нужно знать возможные степени окисления элементов. Выводим будущие коэффициенты.

6. Зная возможные вещества, соответствующие новым степеням окисления, формируем правую часть уравнения. После знака "равно" записываем, во что превратился восстановитель, потом - во что превратился окислитель. И только потом - все остальные второстепенные продукты.

7. Применяем выведенные коэффициенты. Докручиваем, то есть ставим все остальные коэффициенты.

8. Проверяем соблюдение Закона сохранения массы веществ при химических реакциях.

9. Указываем восстановитель и окислитель.

Всё.

-2

Разобранный пример интересен тем, что все предложенные вещества являются типичными окислителями или восстановителями. Плюс, может сбить с толку другое уравнение: 6HI + Fe2​(SO4​)3​→ 2 FeI2 ​+ I2 ​+3H2​SO4​ - маловероятно, что процесс пойдёт в этом направлении, потому что для образования нужной кислоты вполне достаточно тех сульфатов, которые высвобождаются из окислителя и нет необходимости расходовать иодиды и на окисление и на солеобразование.

Ещё пример разбора по описанному алгоритму:

Вариант 21 из сборника ФИПИ-2026.
Вариант 21 из сборника ФИПИ-2026.
-4

Этот пример - классика ОВР. Даже думать не надо. Иногда такое встречается, да. А встретить такое можно, если знаешь возможные степени окисления элементов - это основа теории ОВР.

А вот над 29-м заданием из варианта №5 сборника ФИПИ-2026 пришлось серьёзно поработать:

-5
-6

Здесь очень хотелось в качестве восстановителя выбрать фосфин и сделать из него фосфорную кислоту, ибо это происходит легко. Но, ни один окислитель для этого не подходил (с бромом не было бы соли, а с бихроматом - не хватает в списке серной кислоты, да получалось бы тогда несколько солей). Поэтому, логически рассуждая, мы с учеником пришли вот к такому решению, хотя оно на первый взгляд не бросалось в глаза.

Итак, зубрёжка 29-му заданию не поможет, а вот помочь себе простыми приёмами, манипуляциями, а главное - логикой вполне можно.

И приглашаю в мой тг-канал.

-7