Найти в Дзене

Запись общего решения для линейных диофантовых уравнений

Начнём с того, что такое общее и частное решение для уравнений с целочисленными коэффициентами, далее диофантовых, в данном случае рассматривается вид уравнения: ax+by=c, где a,b <> 0. Частое решение - конкретный набор целых чисел, удовлетворяющих уравнению. Общение решение - формула, описывающая нахождение всех вариантов частного решения. Один из самых простых способов назождения частного решения является - перебор вариантов (выражает одну переменную через другую, подставляет любое целое число находим значение, выраженный переменной). Есть и другие способы: метод рассеивания, цепные дроби, алгоритм Евклида и др. При решении уравнений изначально нужно посмотреть на коэффициенты уравнения если с некратен НОД (a,b), то с не кратно d=НОД(a,b) можем сделать вывод, что уравнение решений иметь не будет. Пример: 5х+10у=6, d=НОД (5, 10) = 5; 6 не кратно 5=> уравнение не имеет решений. Если, коэффициент с кратен НОД (a,b), то упростим уравнение, разделив на НОД (a,b), далее получиться

Начнём с того, что такое общее и частное решение для уравнений с целочисленными коэффициентами, далее диофантовых, в данном случае рассматривается вид уравнения: ax+by=c, где a,b <> 0.

 Общий вид ЛДУ
Общий вид ЛДУ

Частое решение - конкретный набор целых чисел, удовлетворяющих уравнению.

Общение решение - формула, описывающая нахождение всех вариантов частного решения.

Один из самых простых способов назождения частного решения является - перебор вариантов (выражает одну переменную через другую, подставляет любое целое число находим значение, выраженный переменной). Есть и другие способы: метод рассеивания, цепные дроби, алгоритм Евклида и др.

При решении уравнений изначально нужно посмотреть на коэффициенты уравнения если с некратен НОД (a,b), то с не кратно d=НОД(a,b) можем сделать вывод, что уравнение решений иметь не будет.

Пример:

5х+10у=6,

d=НОД (5, 10) = 5; 6 не кратно 5=> уравнение не имеет решений.

Если, коэффициент с кратен НОД (a,b), то упростим уравнение, разделив на НОД (a,b), далее получиться уравнение в котором НОД (a,b) = 1, если не полученное изначально, или выйдем на описанную раннее ситуацию, при которой отсутствуют решения.

Далее подбираем частное решение, в данном примере обозначим: (х0;у0).

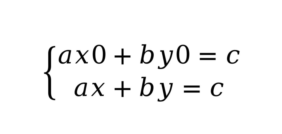
Запишем изначально уравнение и полученное уравнение, вместо х и у поставим частное решение (х0;у0).

-2

Вычтем из первого уравнения второе, получим выражение: (ax0-ax)+(by0-by)=c-c, значит a(x0-x)+b(y0-y)=0, следовательно a(x0-x)=-b(y0-y). Левая часть уравнения делиться на а, значит и правая делиться а, значит существует такое число n, при котором y0-y=an, таким образом -y=an-y0, далее у=у0-an. Аналогично со второй стороной, х0-х=-bn, таким образом х=х0+bn.

Общее решение уравнений можно записывать помощью полученных формул

Пример

Найдём частное решение уравнения х+5y=10

НОД(1,5) = 1

Найдем частное решение х=10-5у, таким образом решением являеться (5;1)

С помощью формул запишем общее решение х=5+5n, y=1-n. Проверим полученные выражения, пусть n равен 2, значит х = 15, у=-1. Подствим в изначальное уравнение 15+5*(-1)=10. Удовлетворяет условие, значит формулы и вправду описывают нахождение всех вариантов решений уравнений

В заключение, общий вид линейного диофантового уравнения ах+by=c, в данной статье частное решение записано форматом: (x0;y0). Также n любое целое число. Общие формулы для получения общего решения: у=у0-an, х=х0+bn.