Найти в Дзене
Светлана Маразенкова

ЕГЭ по химии. Непростые 31-е задания

Изучая сборник типовых вариантов ФИПИ-2026, вижу довольно много 31-х задач, содержащих сложные уравнения ОВР. Точнее, сложные случаи уравнивания. В этой статье хочу показать несколько таких заданий. Это 31-е задание из 29-го варианта интересно тем, что требует знания неудобного исключения: как разлагается нитрат железа (II). Здесь нужно учесть взаимодействие продуктов реакции и сделать манипуляцию: сложить два уравнения так, как будто они арифметические: Далее, ситуация, когда в одной молекулу два атома - восстановителя. Как действовать в такой ситуации, я подробно писала вот здесь. Ещё пример: Ещё пример: В общем, в 31-й линии много интересных, непростых задач, над которыми стОит поработать. И приглашаю в мой тг-канал.

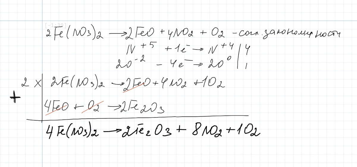
Изучая сборник типовых вариантов ФИПИ-2026, вижу довольно много 31-х задач, содержащих сложные уравнения ОВР. Точнее, сложные случаи уравнивания. В этой статье хочу показать несколько таких заданий.

Это 31-е задание из 29-го варианта интересно тем, что требует знания неудобного исключения: как разлагается нитрат железа (II). Здесь нужно учесть взаимодействие продуктов реакции и сделать манипуляцию: сложить два уравнения так, как будто они арифметические:

-2

Далее, ситуация, когда в одной молекулу два атома - восстановителя. Как действовать в такой ситуации, я подробно писала вот здесь.

-3

Ещё пример:

-4
-5

Ещё пример:

-6
-7

В общем, в 31-й линии много интересных, непростых задач, над которыми стОит поработать.

И приглашаю в мой тг-канал.

-8