Добавить в корзинуПозвонить
Найти в Дзене
Сеятель

Баланс погашения-выпуска ОФЗ в январе-ноябре 2025 года

За январь-октябрь 2025 года: Минфин получил с рынка ОФЗ на 889 млрд руб больше, чем выплатил инвесторам. За январь-ноябрь Минфин РФ разместил следующие выпуски ОФЗ, выручив 4 466 млрд руб. При этом в январе было выплачено: 628 млрд руб в феврале: 71.5 млрд руб. в марте: 469 млрд руб. в апреле: 235 млрд руб. в мае: 177 млрд руб. в июне: 409 млрд. руб. в июле: 697 млрд. руб. в августе: 74 млрд. руб. в сентябре: 515 млрд. руб. в октябре: 297 млрд. руб. в ноябре: 662 млрд. руб. В итоге за 11 месяцев выплаты по ОФЗ составили 3 576 млрд. руб. Общий положительный баланс погашений/размещений резко вырос до 2 248 млрд руб. Но такой рост баланса во многом связан с двумя рекордными аукционами по размещению флоатеров, ОФЗ ПК, в ноябре с общей выручкой 1 601 млрд руб. Диаграммы по балансу рынка ОФЗ: Удачи и трезвого анализа в ваших инвестициях!!! P.S. Подписывайтесь на мой телеграмм-канал: https://t.me/Cervonets

За январь-октябрь 2025 года:

Минфин получил с рынка ОФЗ на 889 млрд руб больше, чем выплатил инвесторам.

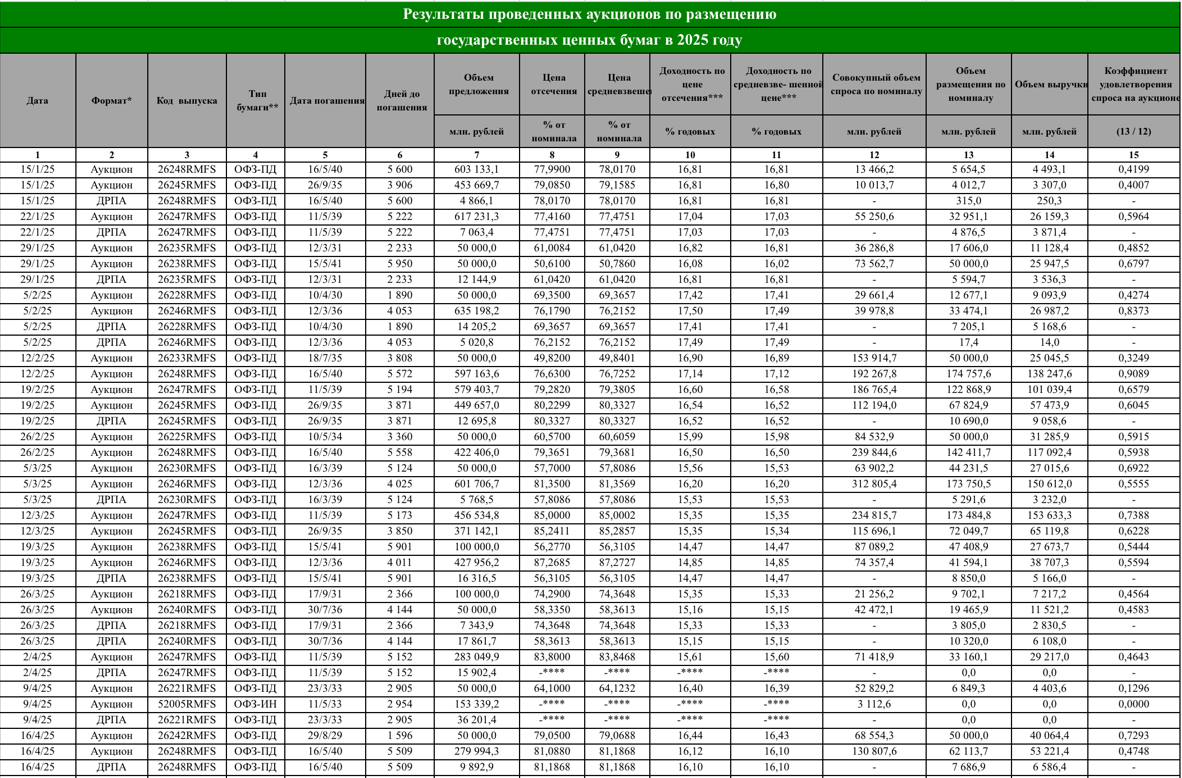
За январь-ноябрь Минфин РФ разместил следующие выпуски ОФЗ, выручив 4 466 млрд руб.

-2
-3

При этом в январе было выплачено: 628 млрд руб

в феврале: 71.5 млрд руб.

в марте: 469 млрд руб.

в апреле: 235 млрд руб.

в мае: 177 млрд руб.

в июне: 409 млрд. руб.

в июле: 697 млрд. руб.

в августе: 74 млрд. руб.

в сентябре: 515 млрд. руб.

в октябре: 297 млрд. руб.

в ноябре: 662 млрд. руб.

В итоге за 11 месяцев выплаты по ОФЗ составили 3 576 млрд. руб.

Общий положительный баланс погашений/размещений резко вырос до 2 248 млрд руб.

Но такой рост баланса во многом связан с двумя рекордными аукционами по размещению флоатеров, ОФЗ ПК, в ноябре с общей выручкой 1 601 млрд руб.

Диаграммы по балансу рынка ОФЗ:

-4
-5

Удачи и трезвого анализа в ваших инвестициях!!!

P.S. Подписывайтесь на мой телеграмм-канал:

https://t.me/Cervonets