Добавить в корзинуПозвонить
Найти в Дзене

Общая химия. Определения и основные химические законы

Химия – это наука о веществах, их свойствах и превращениях. Предметом изучения химии являются вещества. Атомно-молекулярное учение основал Ломоносов в 1741 году. 1. Все вещества состоят из молекул. 2. Молекулы состоят из атомов. 3. Молекулы и атомы находятся в непрерывном движении, что обуславливает тепловое состояние тел (Броуновское движение). 4. Молекулы простых веществ состоят из одинаковых атомов, сложных – из разных. Окончательно атомно-молекулярное учение утвердилось в середине XIX века. В 1860 году на Международном съезде химиков были приняты основные понятия в химии: Молекула – наименьшая частица данного вещества, обладающая его химическими свойствами. Химические свойства молекул объясняются ее составом и строением. Атом – наименьшая частица химического элемента, входящая в состав молекул простых и сложных веществ. Химический элемент – определенный вид атомов, обладающим одинаковым зарядом ядра, валентностью и степенью окисления. Простые вещества образованы атомами одного хим
Оглавление

Общая химия.

Химия – это наука о веществах, их свойствах и превращениях. Предметом изучения химии являются вещества.

Атомно-молекулярное учение основал Ломоносов в 1741 году.

Основные положения атомно-молекулярного учения:

1. Все вещества состоят из молекул.

2. Молекулы состоят из атомов.

3. Молекулы и атомы находятся в непрерывном движении, что обуславливает тепловое состояние тел (Броуновское движение).

4. Молекулы простых веществ состоят из одинаковых атомов, сложных – из разных.

Окончательно атомно-молекулярное учение утвердилось в середине XIX века. В 1860 году на Международном съезде химиков были приняты основные понятия в химии:

Молекула – наименьшая частица данного вещества, обладающая его химическими свойствами. Химические свойства молекул объясняются ее составом и строением.

Атом – наименьшая частица химического элемента, входящая в состав молекул простых и сложных веществ.

Химический элемент – определенный вид атомов, обладающим одинаковым зарядом ядра, валентностью и степенью окисления.

Простые вещества образованы атомами одного химического элемента. Сложные вещества образованы атомами разных химических элементов.

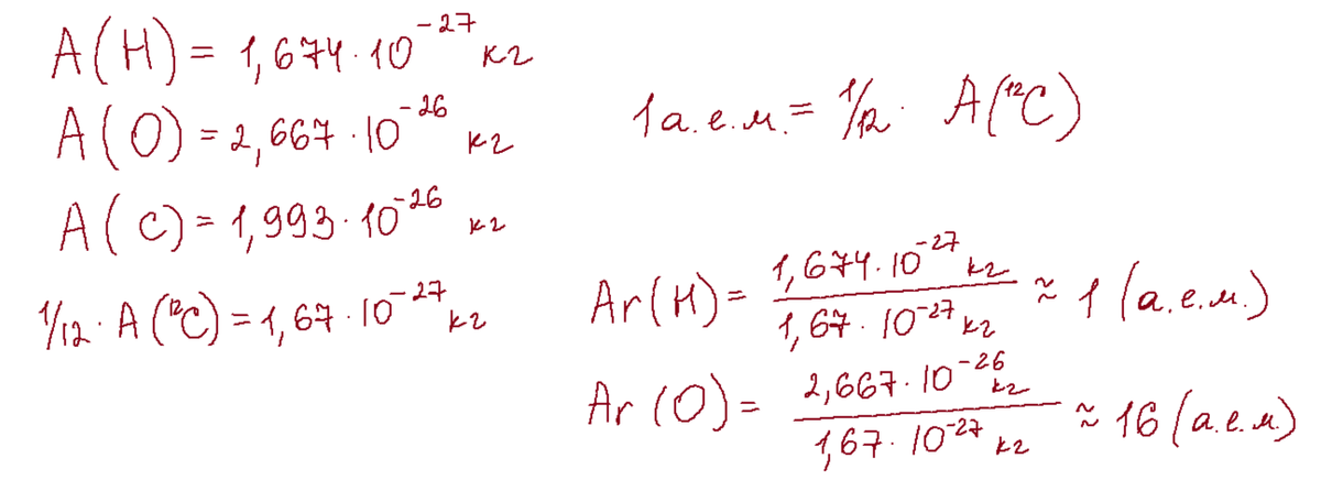
Относительная атомная масса (Ar) - величина, равная отношению средней массы атома естественного изотопического состава элемента к 1/12 массы атома углерода массой 12.

-2

Относительная молекулярная масса (Mr) - величина, равная отношению средней массы молекулы естественного изотопического состава вещества к 1/12 массы атома углерода массой 12.

-3

Моль – количество вещества, содержащее столько структурных единиц (атомов, молекул, ионов, электронов), сколько атомов содержит 0,012 кг углерода с массой 12.

Число Авогадро – Nа показывает, сколько атомов С содержится в 0,012 кг углерода с массой 12.

-4

1 моль любого вещества содержит 6,02*10 в 23 степени структурных единиц.

Число Авогадро показывает число структурных единиц в 1 моль любого вещества. Для газообразных веществ существенную роль играют условия (давление, температура). Нормальные условия p=101325 Па (1 атмосфера, 760 мм.рт.ст), Т= 273 К (0 градусов С)

1 моль любого газа при н.у. содержит 6,02*10 в 23 степени молекул.

Основные законы химии:

Стехиометрия – раздел химии, изучающий массовые или объемные отношения между реагирующими веществами. Стехиометрические расчеты – расчеты по химическим формулам и уравнениям.

Закон кратных отношений: весовые количества взаимодействующих между собой веществ соотносятся как небольшие целые числа.

-5

Закон сохранения массы веществ: масса веществ, вступивших в реакцию, равна массе веществ, образующихся в результате реакции.

Закон постоянства состава вещества: всякое чистое вещество, независимо от способа его получения, всегда имеет постоянный качественный и количественный состав.

-6

Газовые законы.

Закон Авогадро: в равных объемах различных газов при одинаковых условиях (давление, температура) содержится одинаковое число молекул.

Следствия из закона:

1. При одинаковых условиях 1 моль любого газа занимает одинаковый объем. При н.у. 1 моль любого газа занимает объем Vm=22,4 л/моль.

-7

2. Отношение массы определенного объема одного газа к массе такого же объема другого газа (взятого при тех же условиях) называется плотностью первого газа по второму (Д).

-8